Última actualización :
18/03/2026
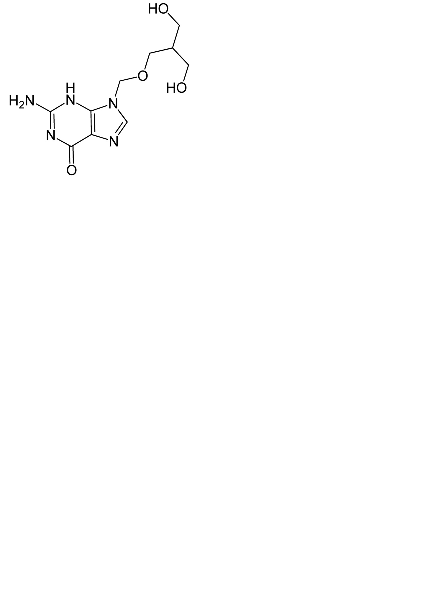
Antiviral   Ganciclovir  
Gotas oculares
La estabilidad de las preparaciones farmacéuticas Estabilidad en mezcla Factores que influyen sobre la estabilidad Compatibilidades Bibliografía pdf
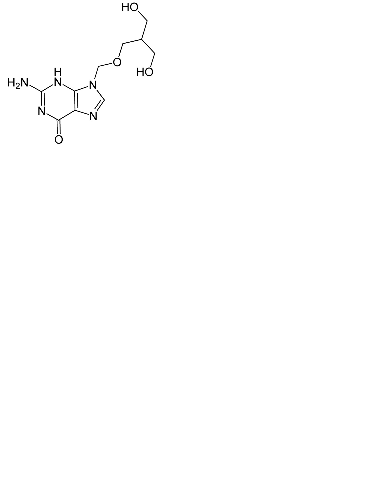
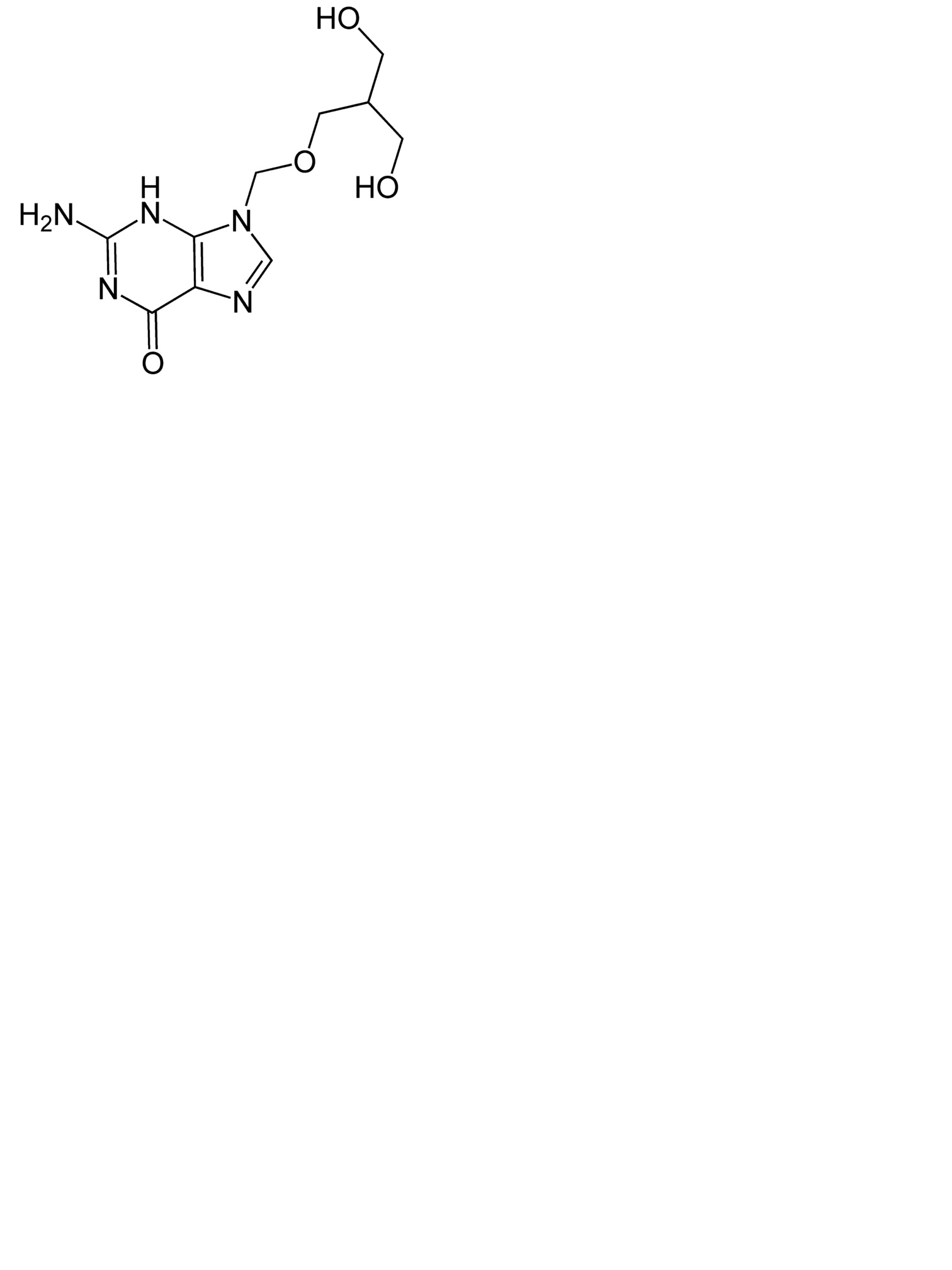
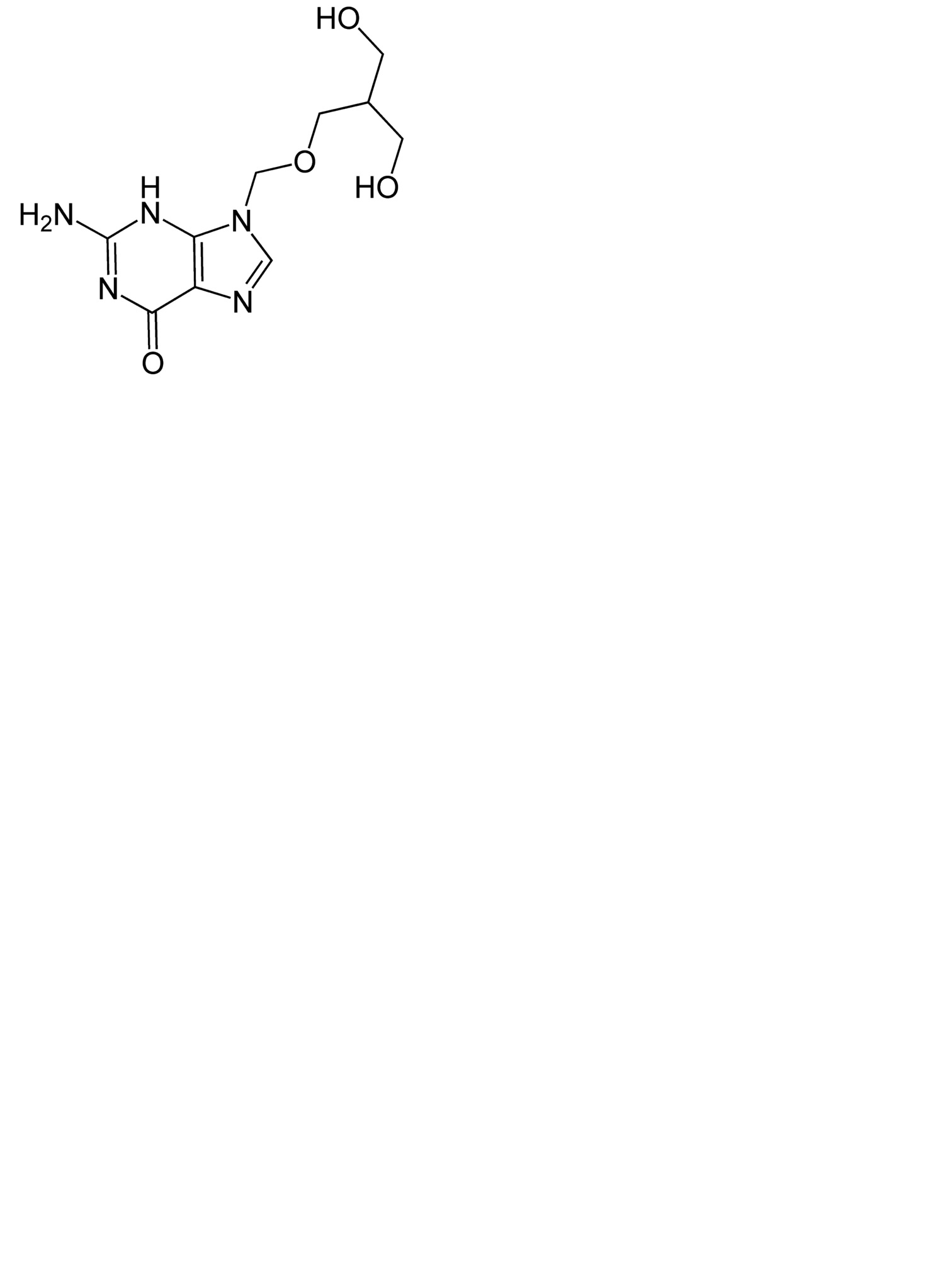
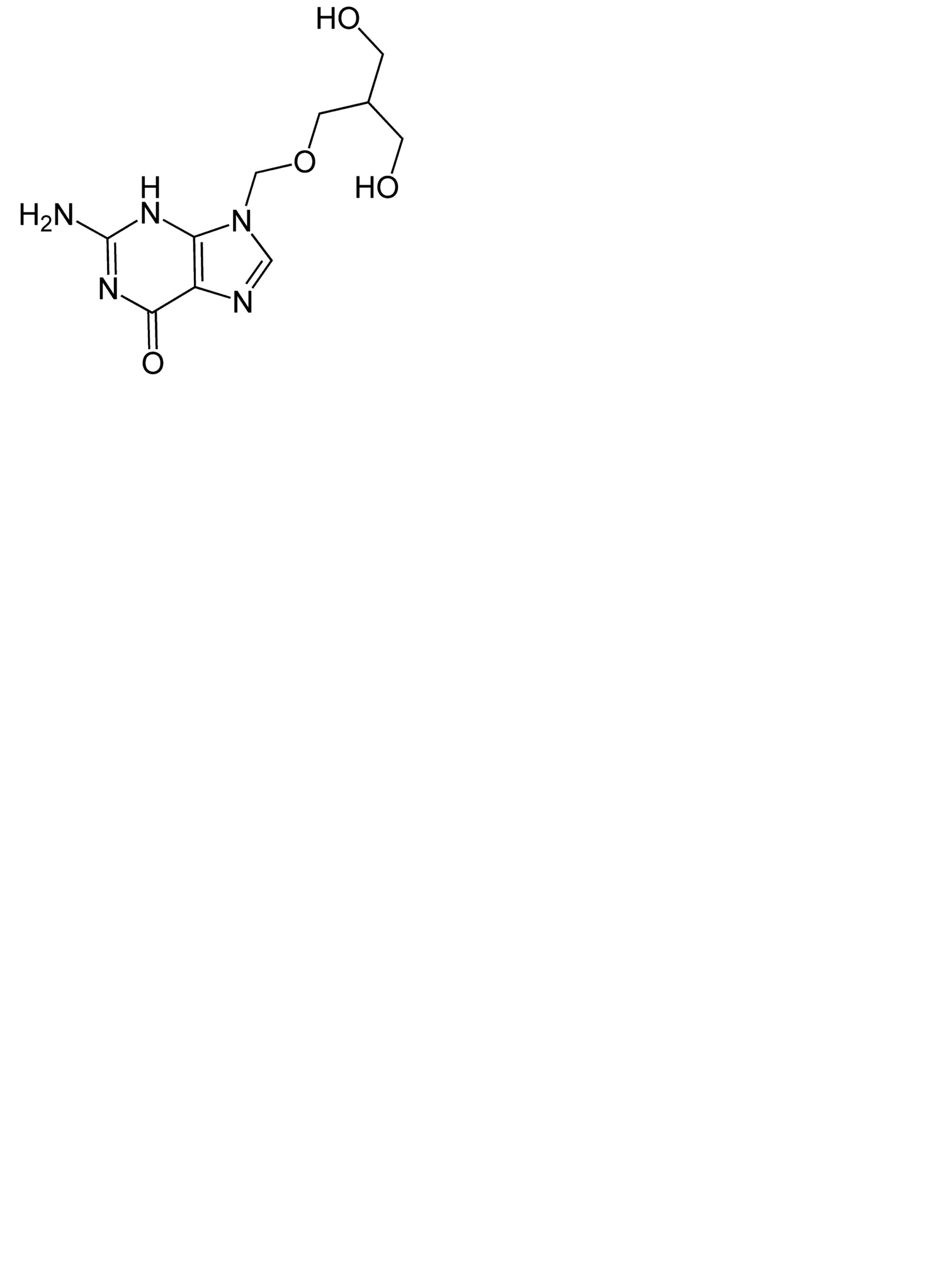
   Estructura química  

Gotas oculares
La estabilidad de las preparaciones farmacéuticas   Gotas oculares   La estabilidad de las preparaciones farmacéuticas : Ganciclovir     
Envase Origine Excipiente Temperatura Conservación Duración de la estabilidad Bibliografía
Botella de plástico Producto comercial de drogas 100 mg
® = La Roche
Agua para inyección >> 5 mL
2-8°C A cubierto de la luz
84 Día
4729
Botella de plástico Producto comercial de drogas 100 mg
® = La Roche
Agua para inyección >> 5 mL
28-32°C A cubierto de la luz
56 Día
4729

  Mentions Légales