Son güncelleme :
27/11/2025
Antiviral   Ganciclovir  
Göz damlası
Farmasötik preparatlar Kararlılığı Karışımlardaki stabilitesi Stabiliteyi etkileyen faktörler Uyumluluk Kaynaklar pdf
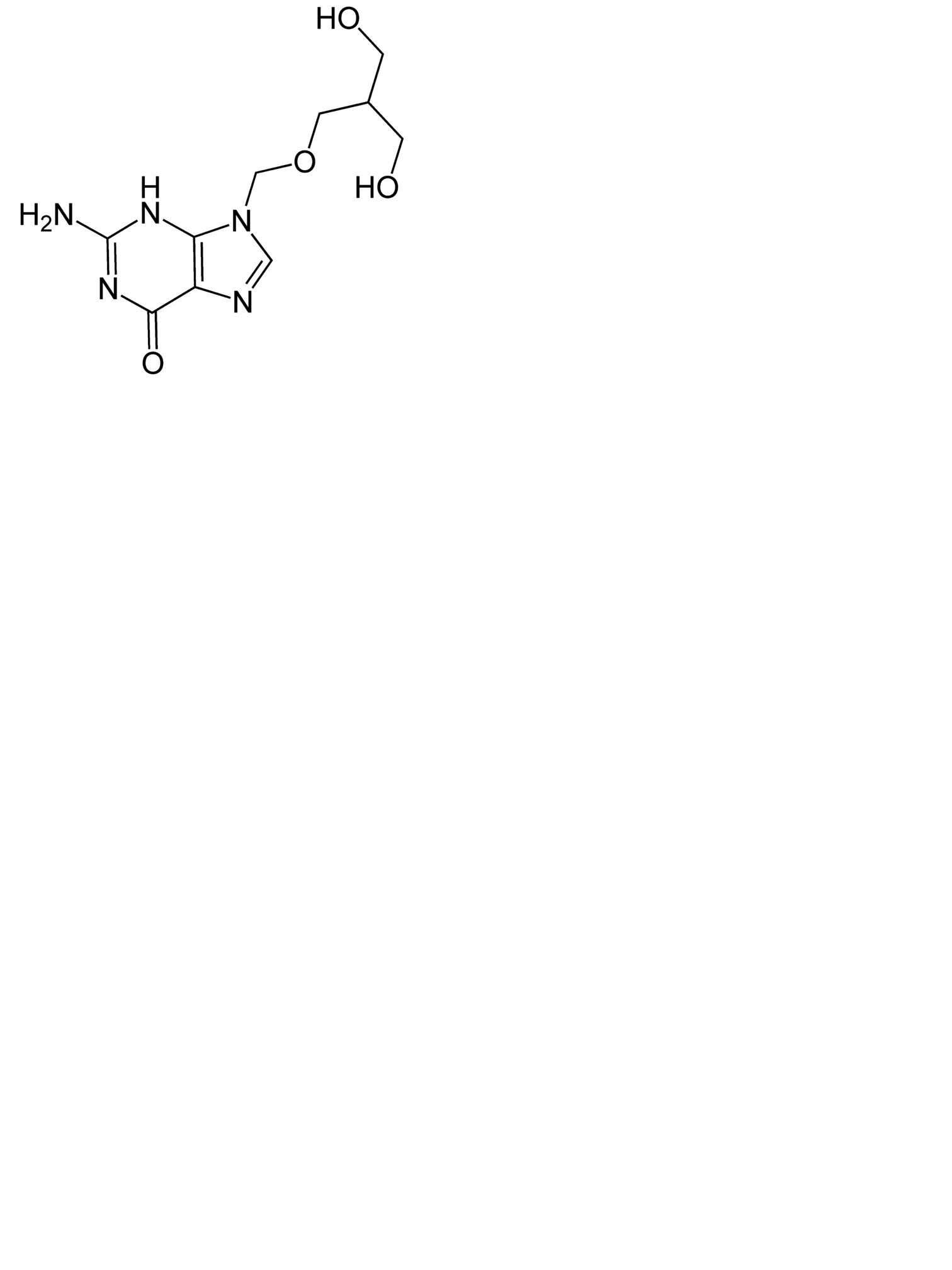
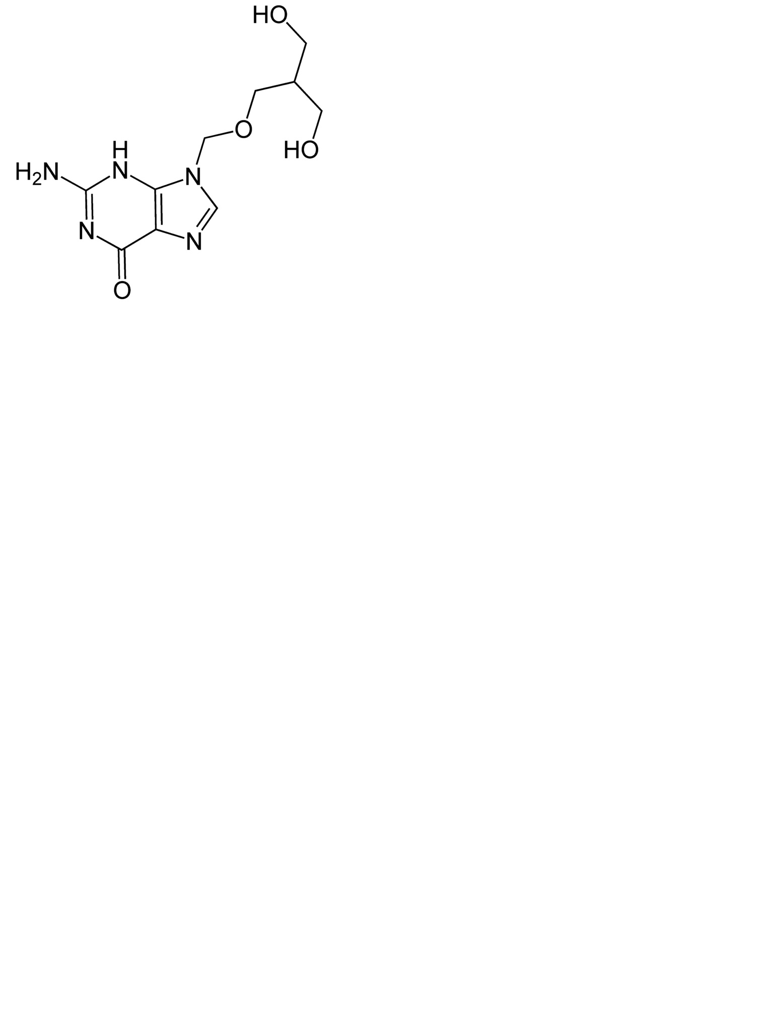
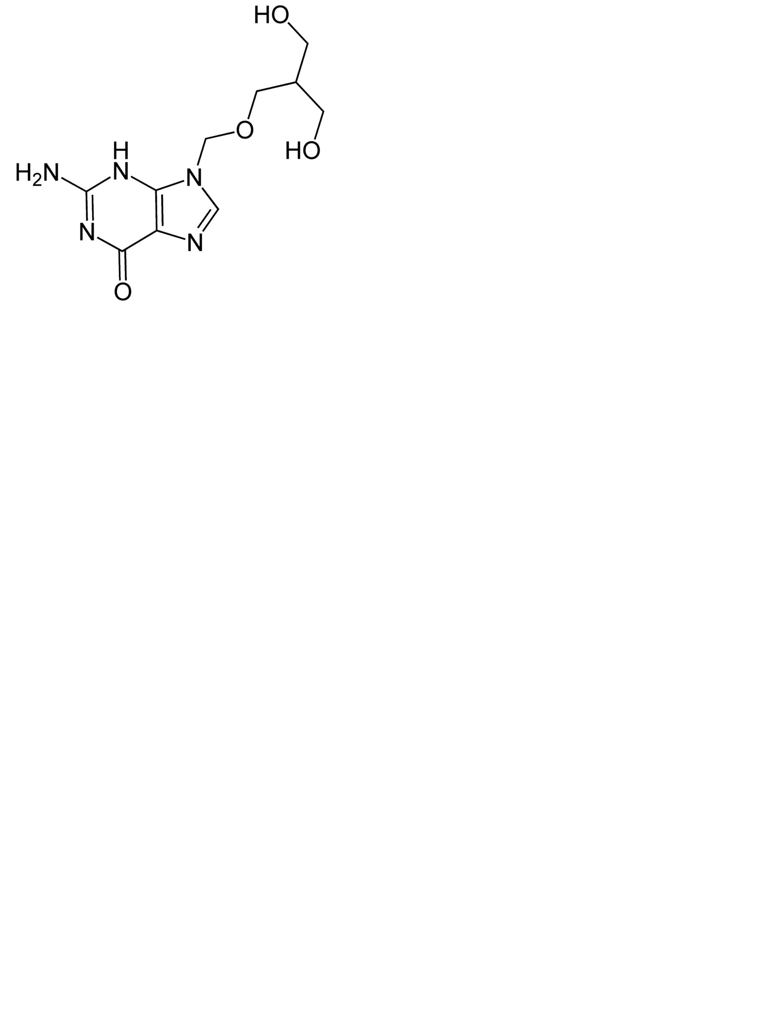
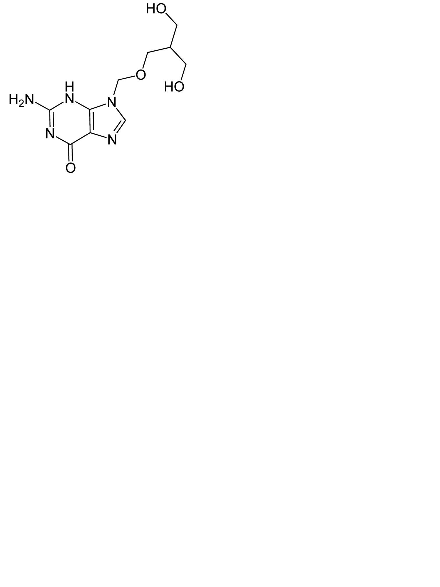
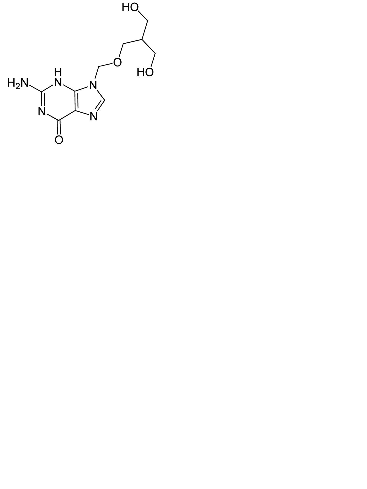
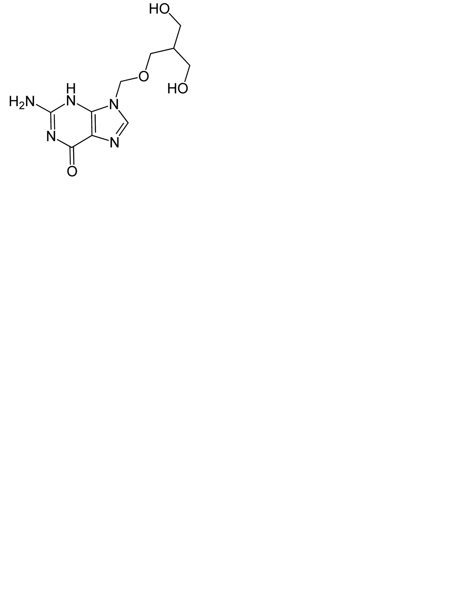
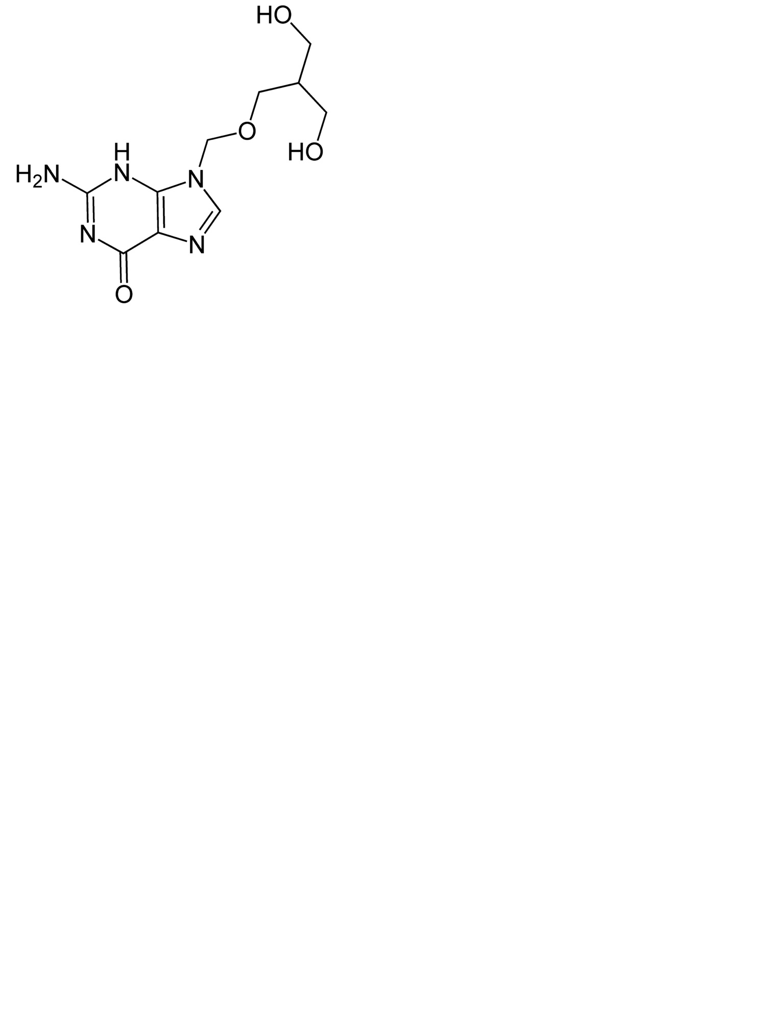
   Kimyasal yapı   

Göz damlası
Farmasötik preparatlar Kararlılığı   Göz damlası   Farmasötik preparatlar Kararlılığı : Ganciclovir     
Saklama kabı Origine yardımcı madde Isı Saklama    Stabilite süresi Kaynaklar
Plastik şişe Ticari İlaç ürünü 100 mg
® = La Roche
Enjeksiyonluk su >> 5 mL
2-8°C Işıktan koruyunuz
84 Gün
4729
Plastik şişe Ticari İlaç ürünü 100 mg
® = La Roche
Enjeksiyonluk su >> 5 mL
28-32°C Işıktan koruyunuz
56 Gün
4729

  Mentions Légales