Последно актуализиране :
18/03/2026
Противовирусно средство   Ganciclovir  
Капки за очи
Стабилност на лекарствени препарати Стабилност на смеси Фактори, повлияващи стабилността Съвместимост Библиография Pdf
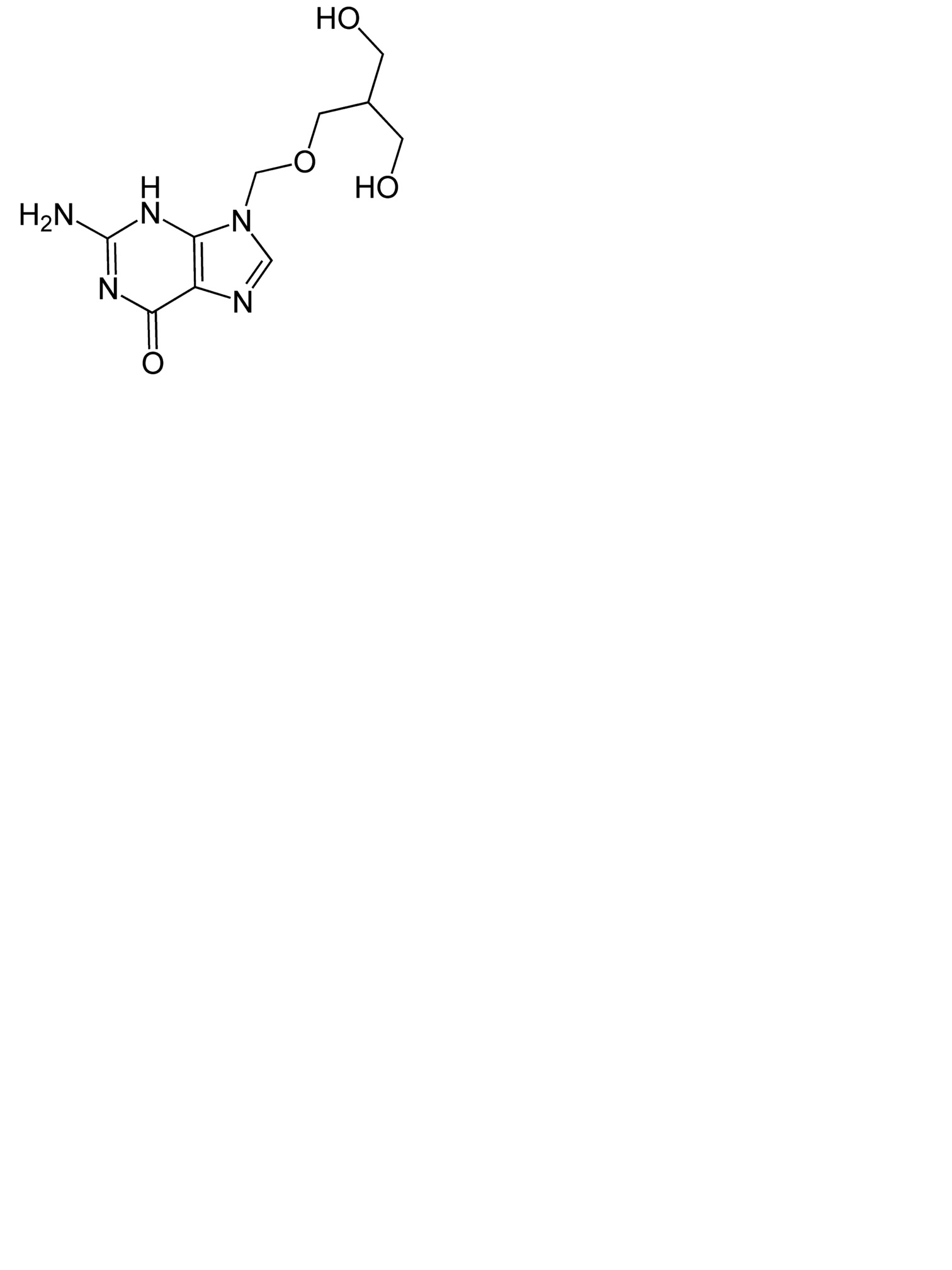
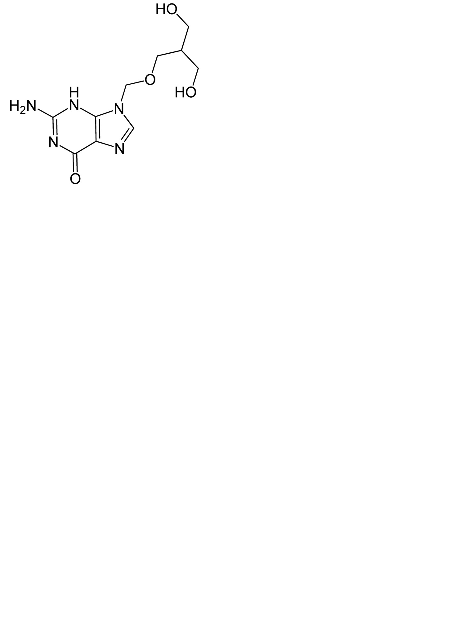
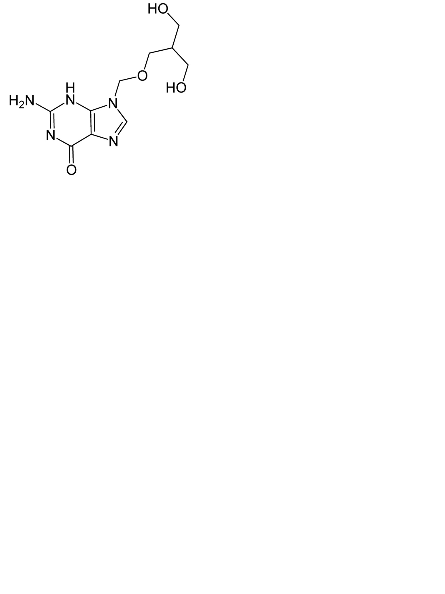
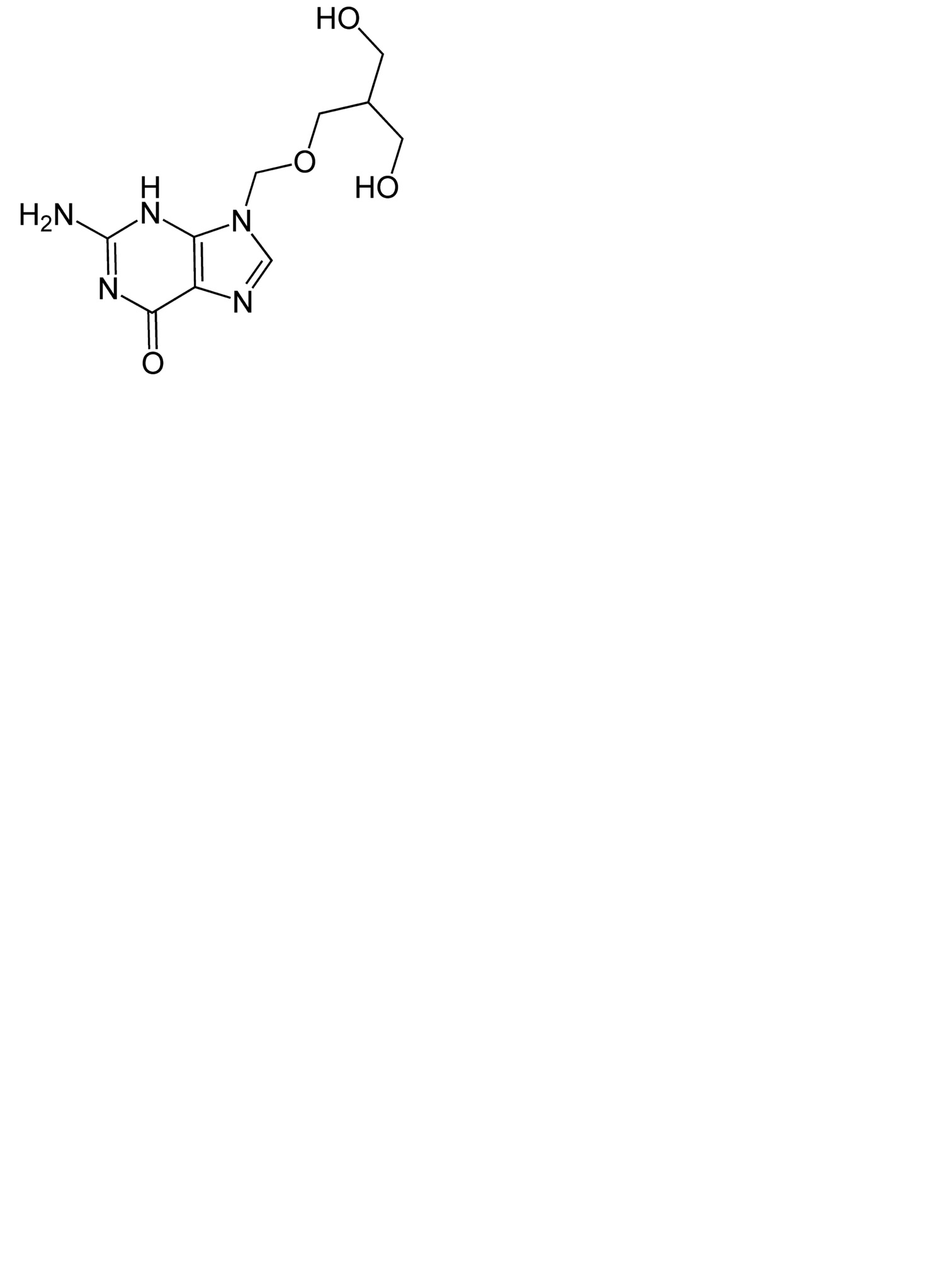
   Химична структура  

Капки за очи
Стабилност на лекарствени препарати   Капки за очи   Стабилност на лекарствени препарати : Ganciclovir     
Контейнер Origine Помощно вещество Температура Съхранение Продължителност на стабилността Библиография
Пластмасова бутилка Търговски лекарствен продукт 100 mg
® = La Roche
Вода за инжекции >> 5 mL
2-8°C Защита от светлина
84 Ден
4729
Пластмасова бутилка Търговски лекарствен продукт 100 mg
® = La Roche
Вода за инжекции >> 5 mL
28-32°C Защита от светлина
56 Ден
4729

  Mentions Légales