最新更新 :
27/11/2025
抗病毒药   Ganciclovir  
眼药水
制剂的稳定性 混合物稳定性 影响稳定性的因素 兼容性 引用文献 PDF
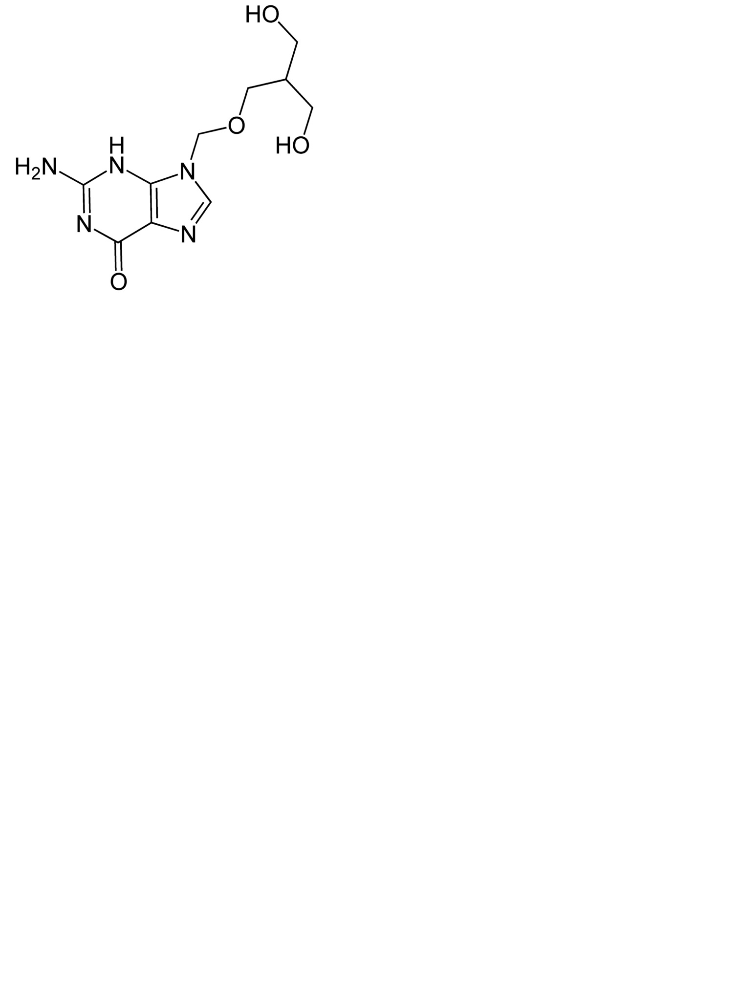
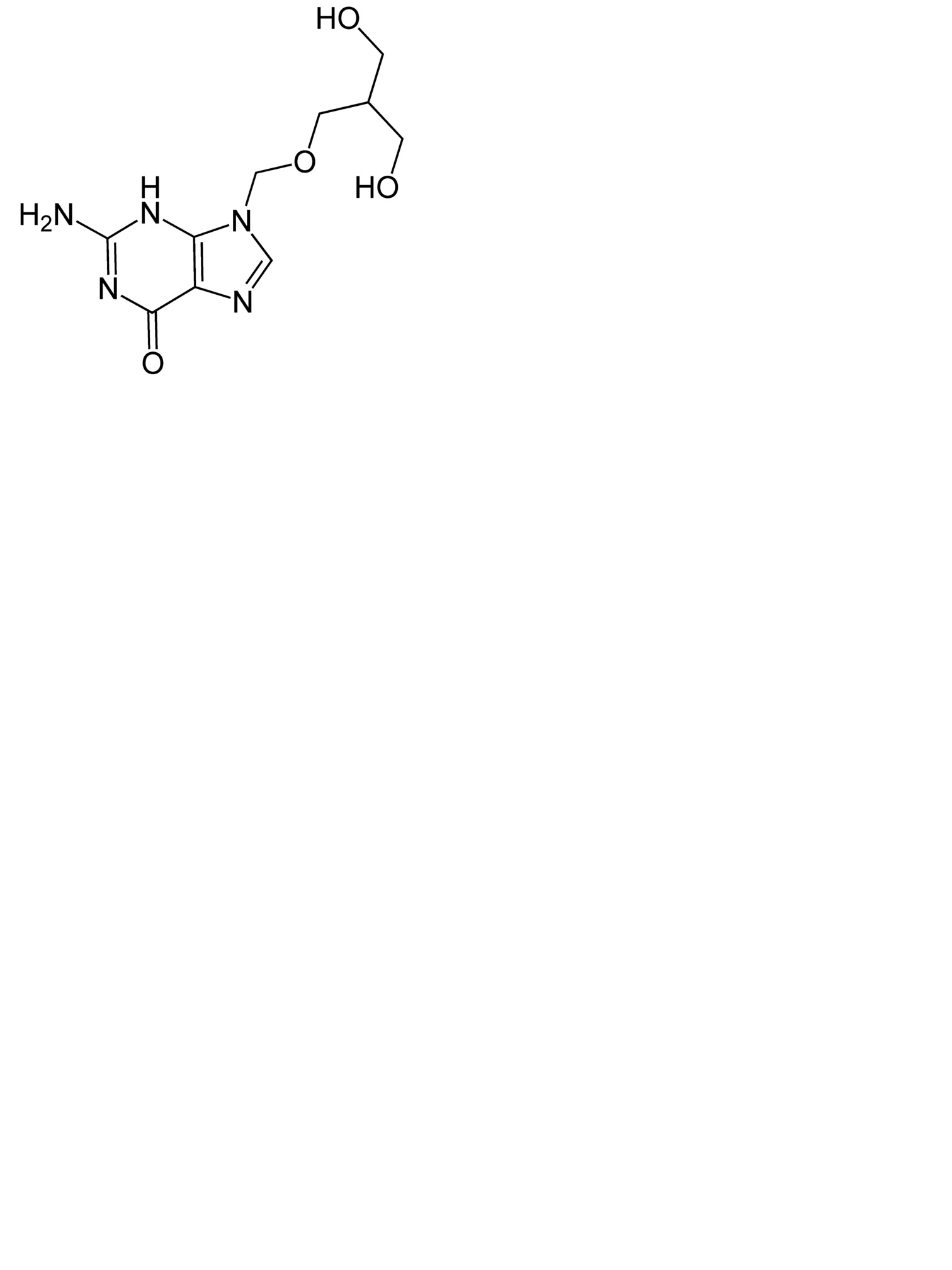
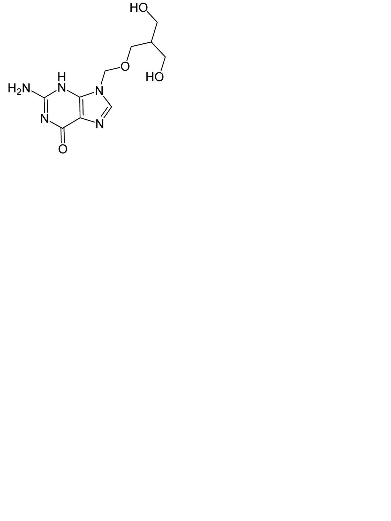
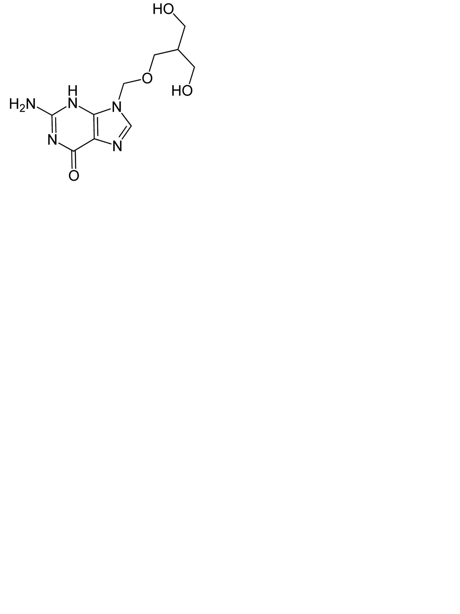
   化学式  

眼药水
制剂的稳定性   眼药水   制剂的稳定性 : Ganciclovir     
容器 Origine 添加剂 温度 保存 穩定持續時間 引用文献
塑料瓶 商業藥品 100 mg
® = La Roche
注射用蒸留水 >> 5 mL
2-8°C 避光
84 白天
4729
塑料瓶 商業藥品 100 mg
® = La Roche
注射用蒸留水 >> 5 mL
28-32°C 避光
56 白天
4729

  Mentions Légales