Última actualização :
27/04/2026
Infostab
Lista de compostos
Listas de leitura dos resumos de informação
Pesquise compatibilidades
Tabela de compatibilidade do site Y
Bibliografía
As equipas de investigação
valistab
poster
Conexões
patrocinadores
Autores
Manual do utilizador
Boletim de notícias
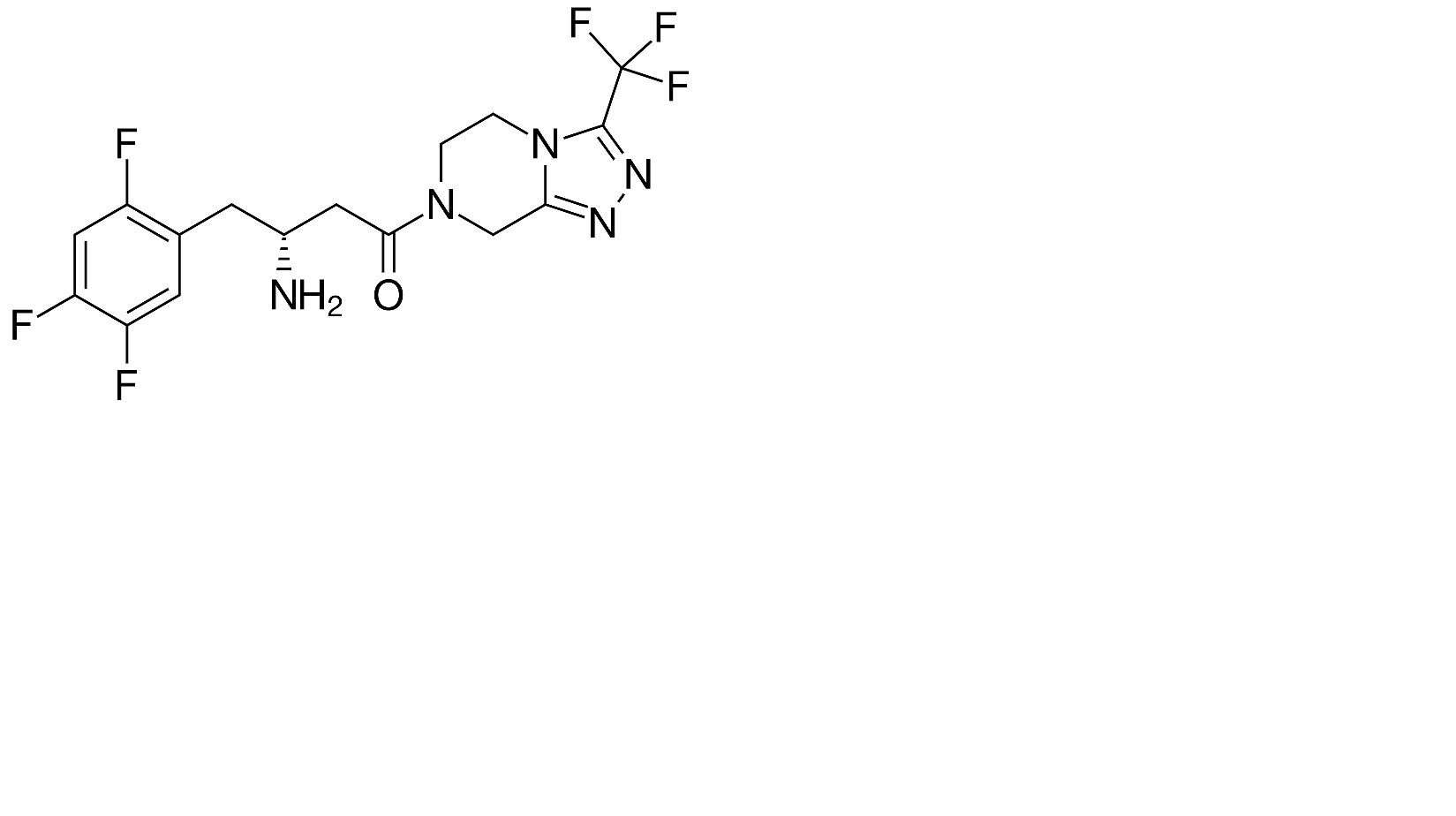
Sitagliptine phosphate
estrutura química
Factores que afectam a sua estabilidade : Sitagliptine phosphate
Ausência de dados
Mentions Légales