Laatste update :
27/04/2026
Bloedglucoseverlagend middel   Sitagliptine phosphate  
Orale Oplossing
Stabiliteit van farmaceutische preparaten Stabiliteit in mengsels Factoren die de stabiliteit beïnvloeden Verenigbaarheden Literatuur pdf
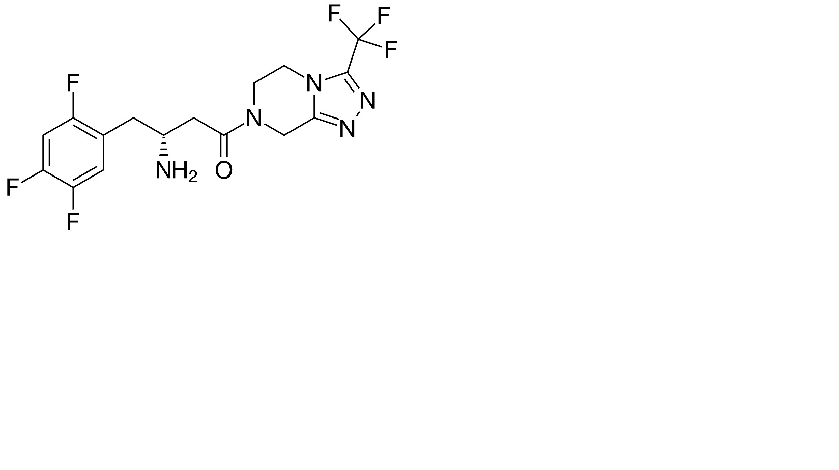
   Molecuulstructuur  

Orale Oplossing

Factoren die de stabiliteit beïnvloeden   Orale Oplossing   Factoren die de stabiliteit beïnvloeden : Sitagliptine phosphate        
geen gegevens

  Mentions Légales