Zadnji put ažurirano :
27/04/2026
hipoglikemici   Sitagliptine phosphate  
oralna otopina
Stabilnost farmaceutskih pripravaka Stabilnost mješavine Stabilizacijski faktor Kompatibilnosti Bibliografija pdf
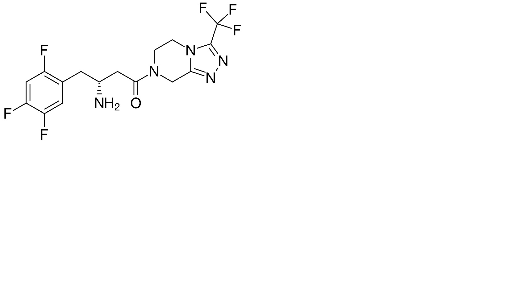
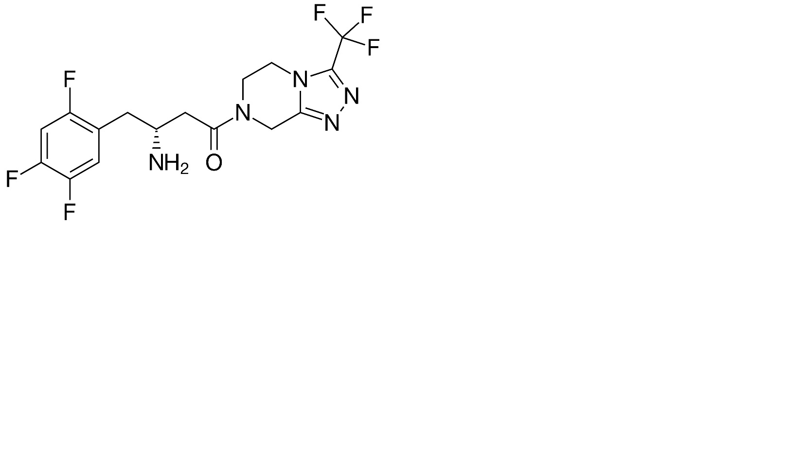
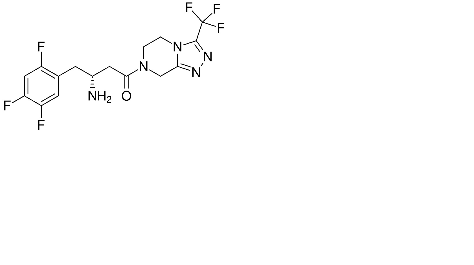
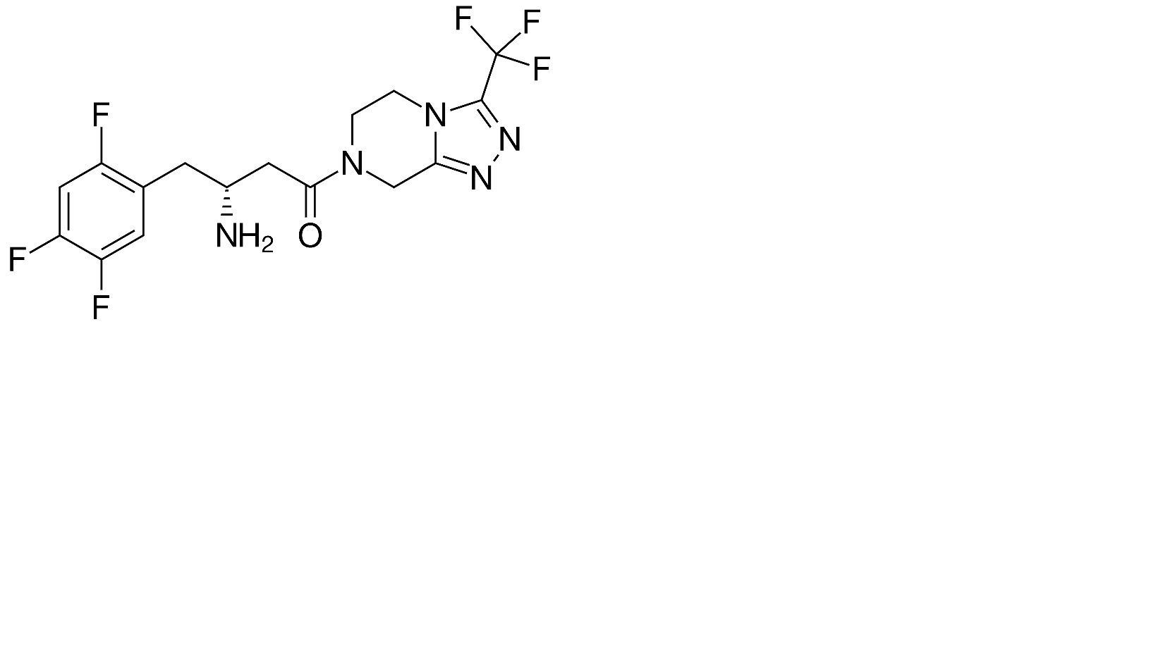
   Kemijska struktura  

oralna otopina

Stabilizacijski faktor   oralna otopina     Stabilizacijski faktor : Sitagliptine phosphate        
bez podataka

  Mentions Légales