Τελευταία ενημέρωση :
27/04/2026
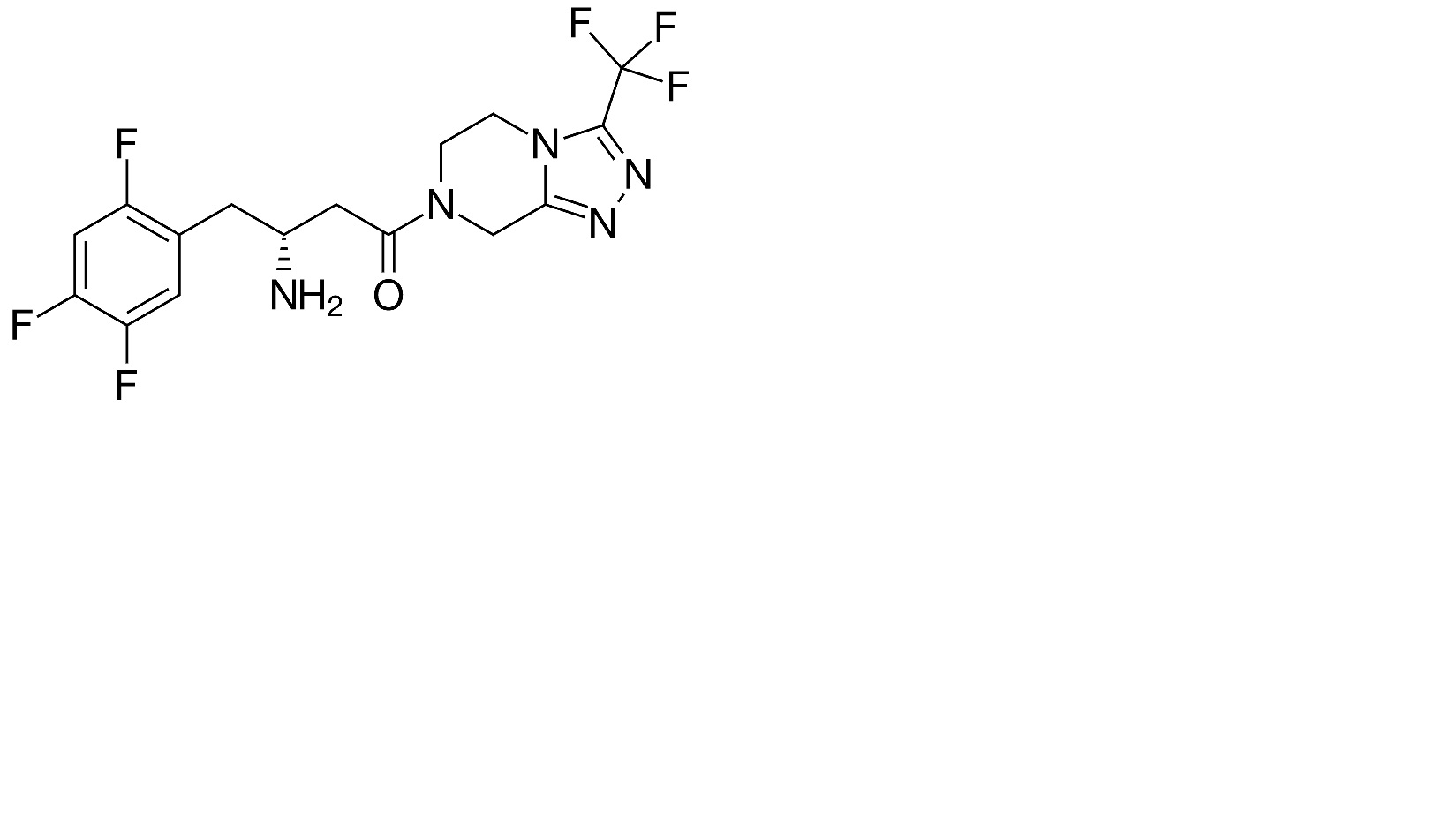
Υπογλυκοζαιμικό   Sitagliptine phosphate  
Πόσιμο διάλυμα
Σταθερότητα και συμβατότητα των φαρμάκων Σταθερότητα σε μίγματα Παράγοντας που επηρεάζει τη σταθερότητα Συμβατότητες Βιβλιογραφία pdf
   χημική δομή  

Πόσιμο διάλυμα

Παράγοντας που επηρεάζει τη σταθερότητα   Πόσιμο διάλυμα   Παράγοντας που επηρεάζει τη σταθερότητα : Sitagliptine phosphate        
Δεν υπάρχουν πληροφορίες

  Mentions Légales