Ostatnia aktualizacja :
27/04/2026
Lek obniżający poziom cukru   Sitagliptine phosphate  
Roztwór doustny
Stabilność preparatów farmaceutycznych Trwałość w mieszaninie Czynnik wpływający na trwałość Zgodność Bibliografia pdf
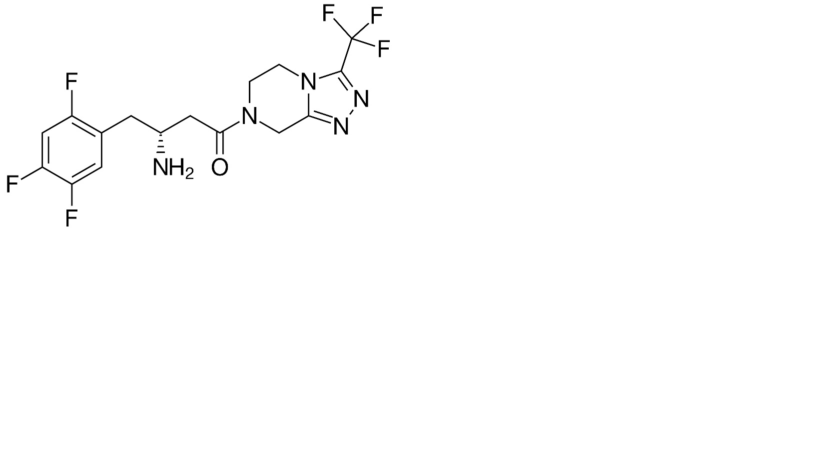
   Struktura chemiczna  

Roztwór doustny

Czynnik wpływający na trwałość   Roztwór doustny   Czynnik wpływający na trwałość : Sitagliptine phosphate        
Brak danych

  Mentions Légales