Poslední aktualizace :
27/04/2026
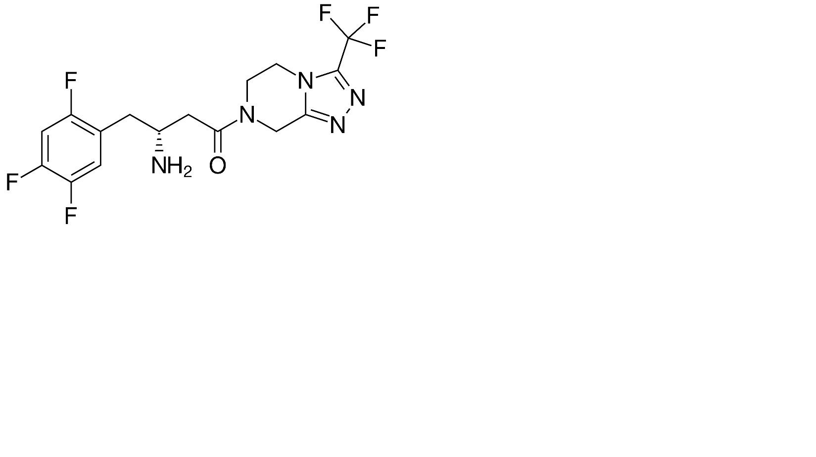
Látka snižující glukózu   Sitagliptine phosphate  
Perorální roztok
Stabilita farmaceutických přípravků Stabilita směsí Faktory ovlivňující stabilitu Kompatibilita Odkazy pdf
   Chemický vzorec  

Perorální roztok

Faktory ovlivňující stabilitu   Perorální roztok   Faktory ovlivňující stabilitu : Sitagliptine phosphate        
žádná data

  Mentions Légales