viimane versioon :
27/04/2026
Hüpoglükeemiline ravim   Sitagliptine phosphate  
suukaudne lahus
Stabiilsust ravimpreparaadid Stabiilsust mõjutavad tegurid stabiilsust mõjutavad faktorid Sobimatus Viited pdf
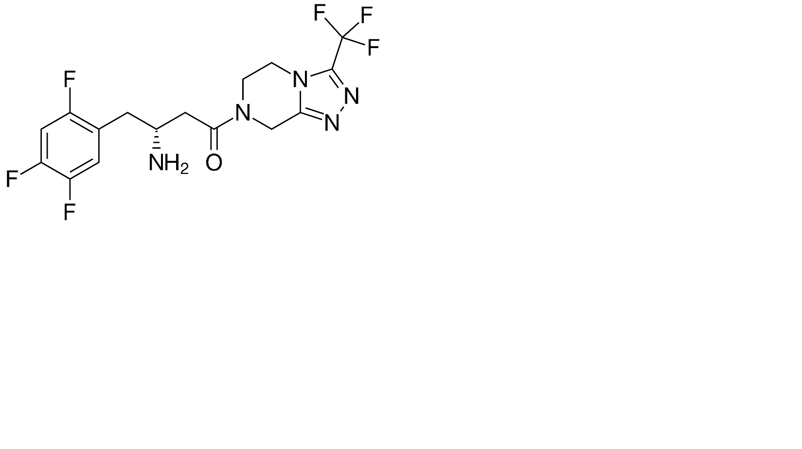
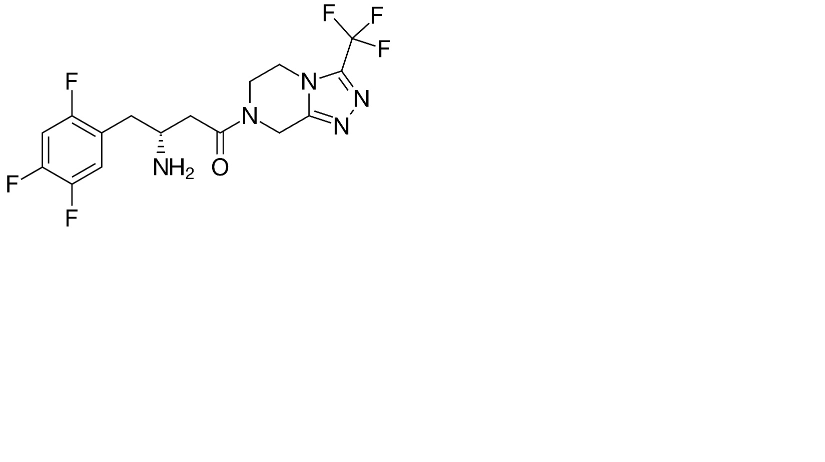
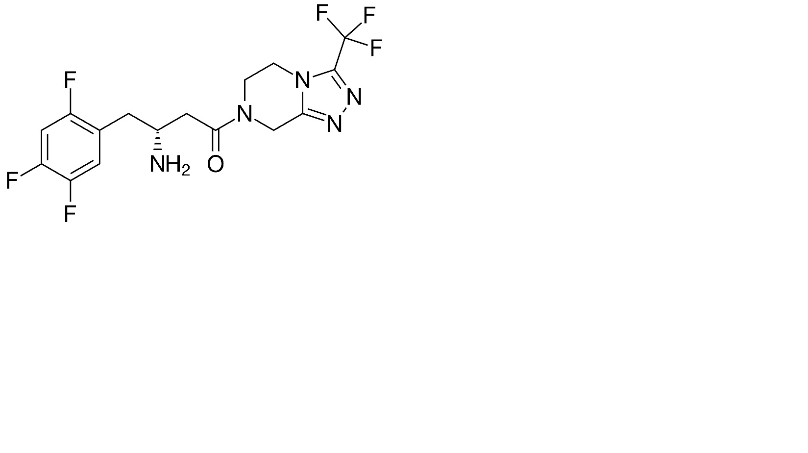
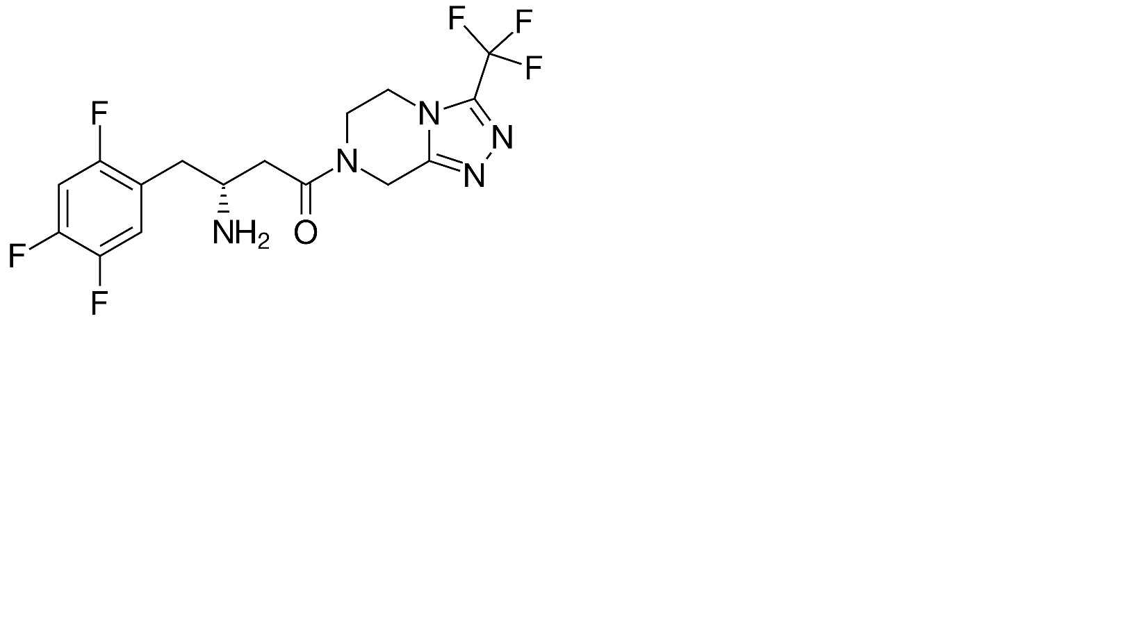
   keemiline struktuur  

suukaudne lahus

stabiilsust mõjutavad faktorid   suukaudne lahus   stabiilsust mõjutavad faktorid : Sitagliptine phosphate        
andmed puuduvad

  Mentions Légales