Seneste opdatering :
27/04/2026
Glukose-nedsættende   Sitagliptine phosphate  
Oral opløsning
Stabilitet af farmaceutiske tilberedninger Stabilitet i blandinger Faktorer der påvirker stabiliteten Kompatibilitet Bibliografi pdf
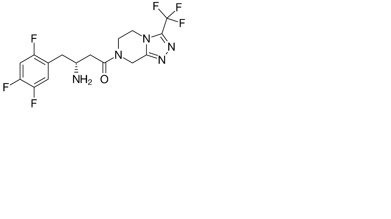
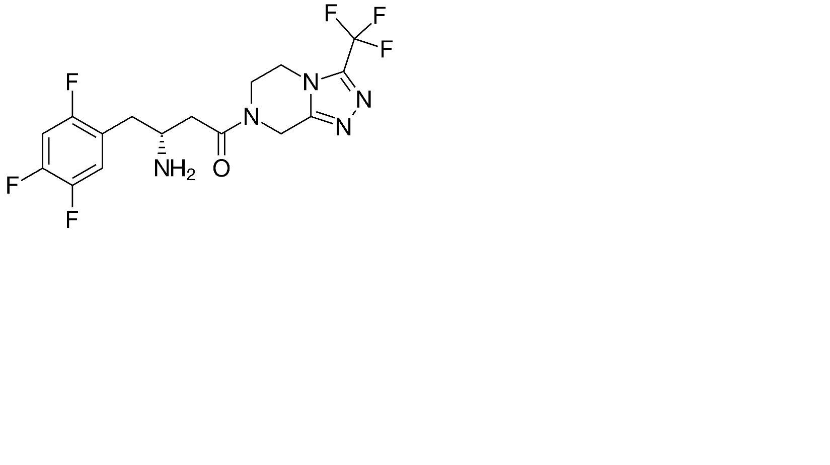
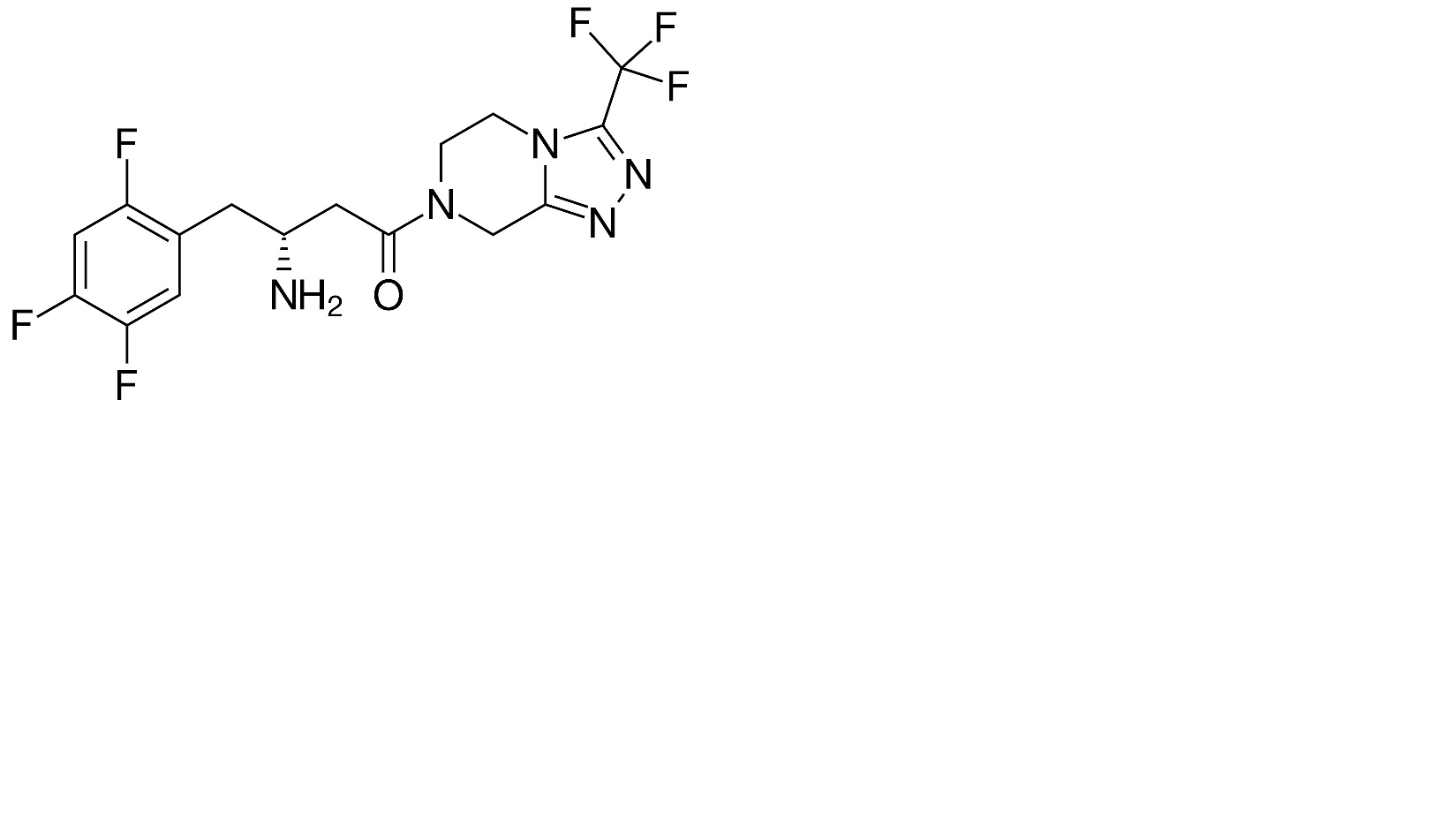
   Kemisk struktur  

Oral opløsning

Faktorer der påvirker stabiliteten   Oral opløsning   Faktorer der påvirker stabiliteten : Sitagliptine phosphate        
Ingen data

  Mentions Légales