Останнє оновлення :
18/03/2026
Антидеменція   Pimavanserin  
Розчин для перорального застосування
Стабільність фармацевтичних препаратів Стійкість сумішей Фактори, що впливають на стабільність Сумісність Список літератури pdf
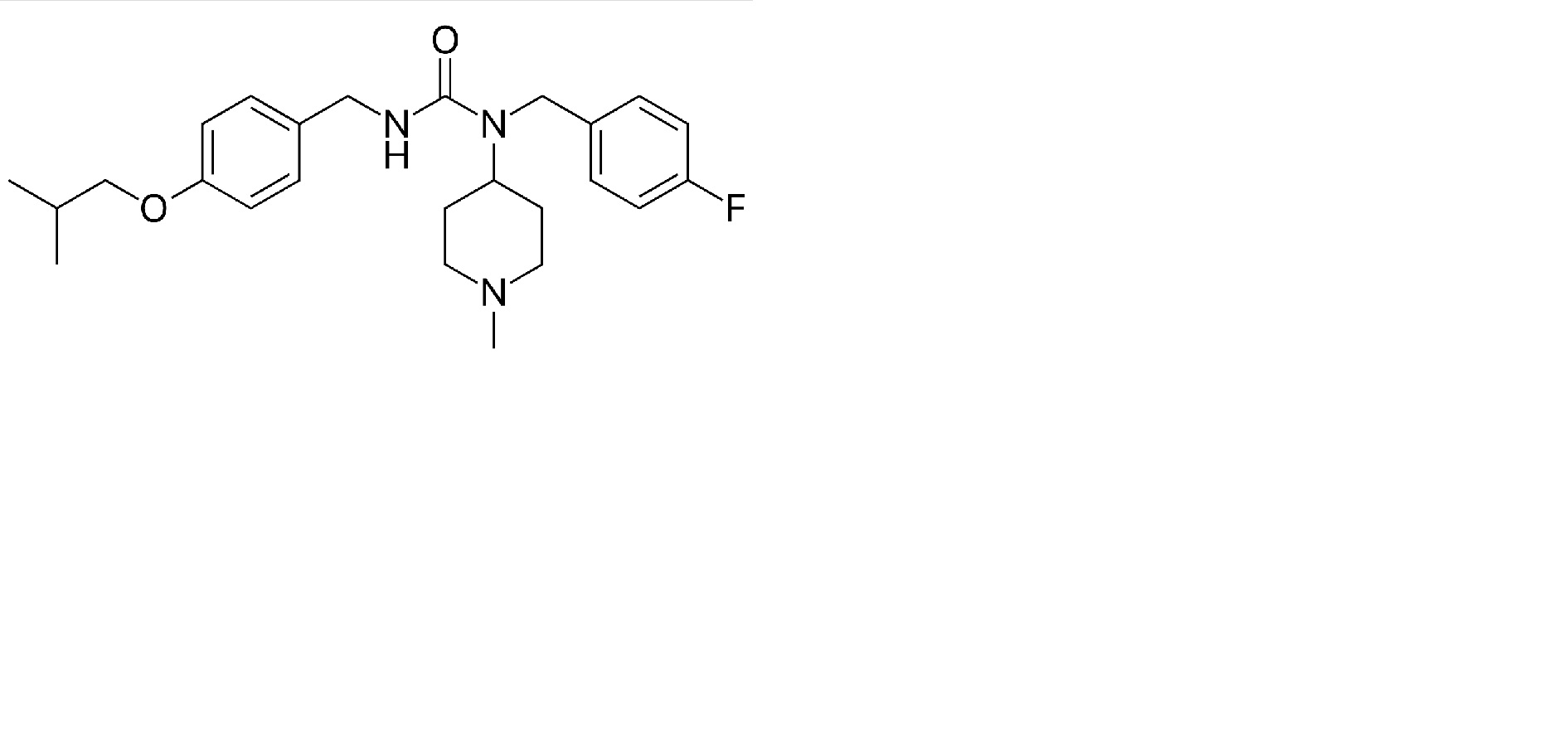
   Хімічна структура  

Розчин для перорального застосування
Стабільність фармацевтичних препаратів   Розчин для перорального застосування   Стабільність фармацевтичних препаратів : Pimavanserin     
Контейнер Origine допоміжна речовина температура Зберігання Тривалість стабільності Список літератури
Не визначено Капсельн 34 mg
Nuplazid®
Очищена вода >> 40 mL
25°C Не визначено
24 годину
4484
Не визначено Капсельн 34 mg
Nuplazid®
апельсиновий сік >> 60 mL
25°C Не визначено
24 годину
4484
Не визначено Капсельн 34 mg
Nuplazid®
Яблучне пюре >> 40 g
25°C Не визначено
24 годину
4484

  Mentions Légales