Ultimele actualizari :
18/03/2026
anti dementa   Pimavanserin  
Soluţie orală
Stabilitatea preparatelor farmaceutice Stabilitatea in amestec Factorii care influenteaza stabilitatea Compatibilitate Bibliografie pdf
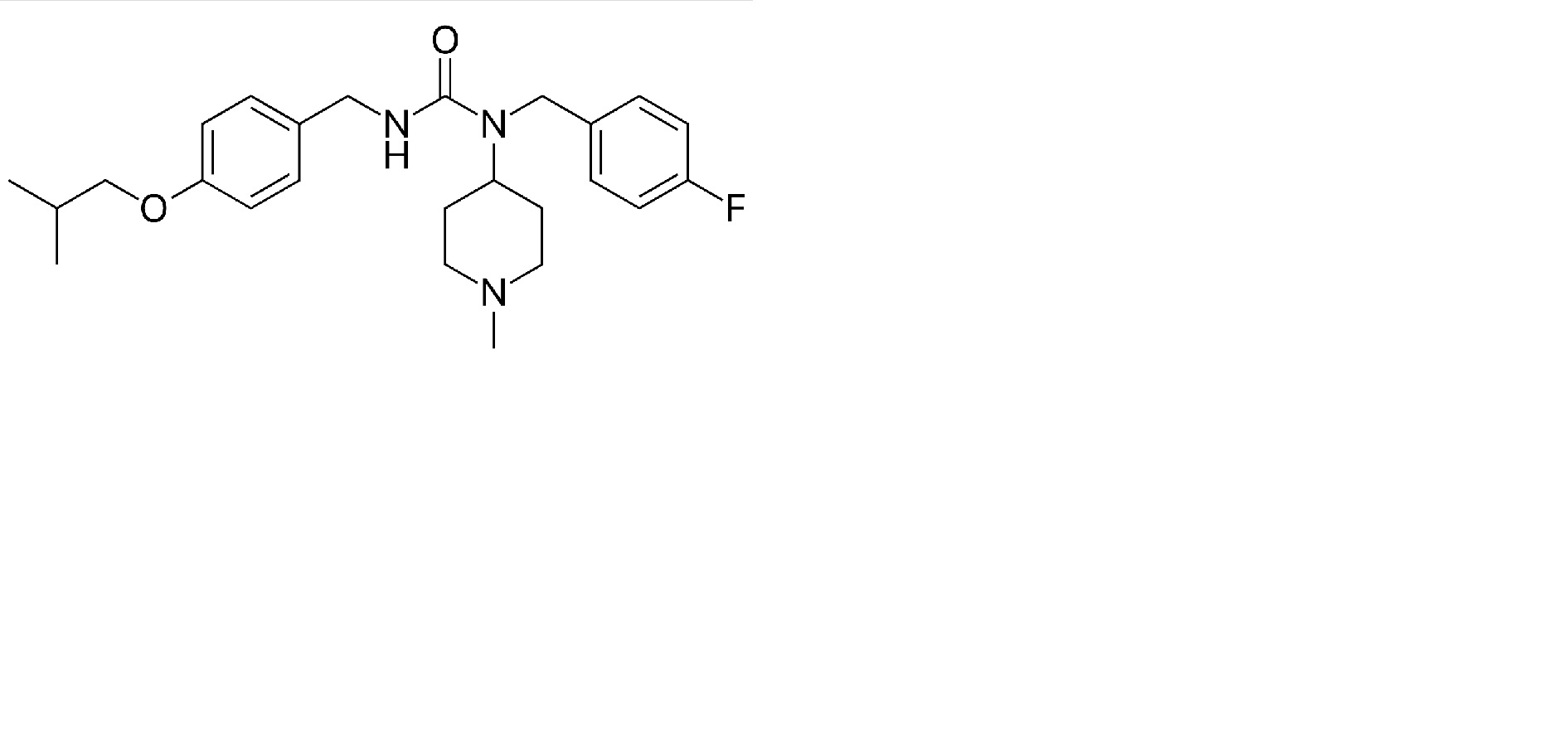
   Formula chimica  

Soluţie orală
Stabilitatea preparatelor farmaceutice   Soluţie orală   Stabilitatea preparatelor farmaceutice : Pimavanserin     
Continut Origine Excipient Temperatura Conservare Durata stabilității Bibiografie
neprecizat capsule 34 mg
Nuplazid®
Apă purificată >> 40 mL
25°C Neprecizat
24 Ora
4484
neprecizat capsule 34 mg
Nuplazid®
suc ​​de portocale >> 60 mL
25°C Neprecizat
24 Ora
4484
neprecizat capsule 34 mg
Nuplazid®
sos de mere >> 40 g
25°C Neprecizat
24 Ora
4484

  Mentions Légales