Poslední aktualizace :
18/03/2026
anti-demence   Pimavanserin  
Perorální roztok
Stabilita farmaceutických přípravků Stabilita směsí Faktory ovlivňující stabilitu Kompatibilita Odkazy pdf
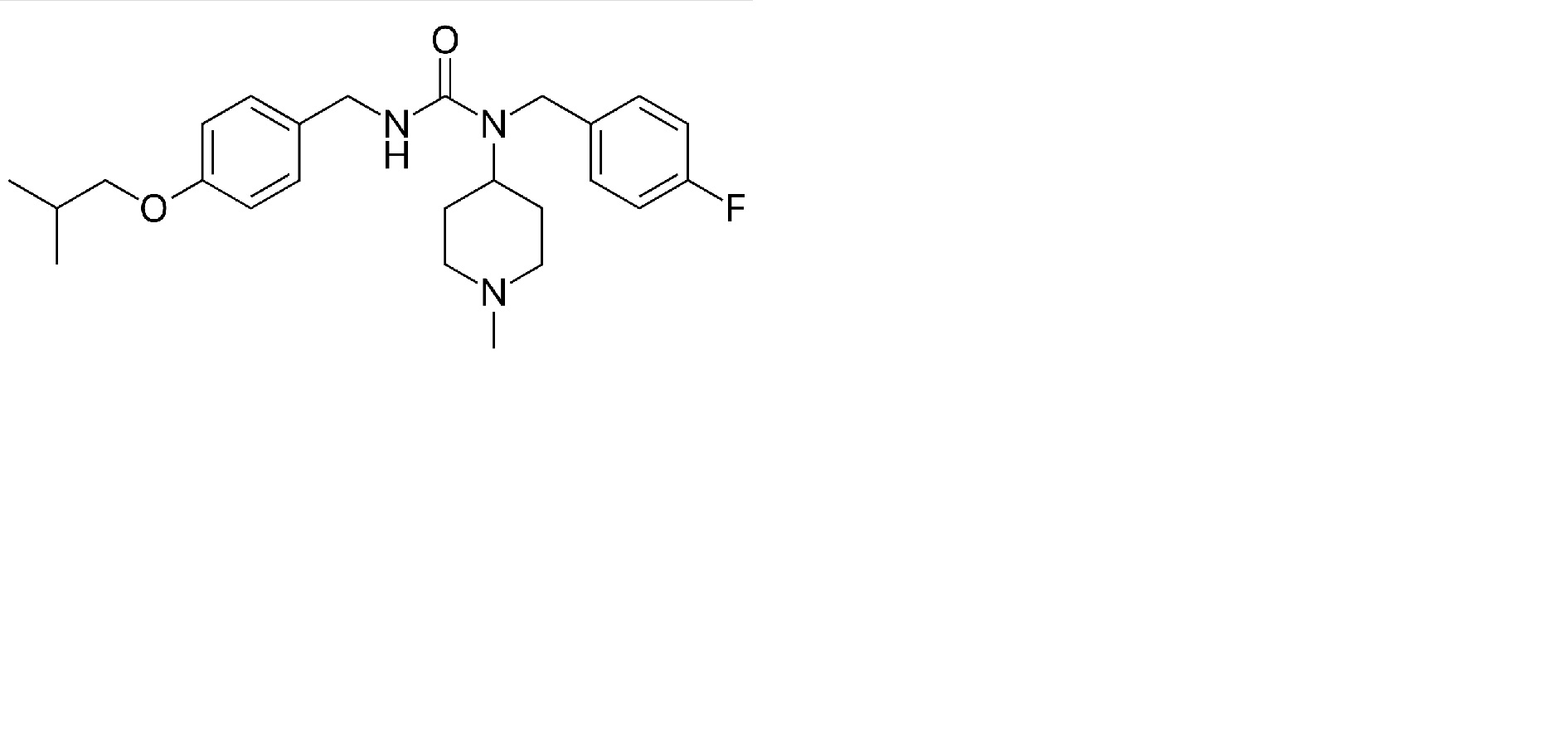
   Chemický vzorec  

Perorální roztok
Stabilita farmaceutických přípravků   Perorální roztok   Stabilita farmaceutických přípravků : Pimavanserin     
Obal Origine Pomocné látky Teplota Uchovávání Trvání stability Odkazy
Nespecifikováno kapsle 34 mg
Nuplazid®
Čištěná voda >> 40 mL
25°C Nespecifikováno
24 Hodina
4484
Nespecifikováno kapsle 34 mg
Nuplazid®
pomerančový džus >> 60 mL
25°C Nespecifikováno
24 Hodina
4484
Nespecifikováno kapsle 34 mg
Nuplazid®
jablečné pyré >> 40 g
25°C Nespecifikováno
24 Hodina
4484

  Mentions Légales