Ostatnia aktualizacja :
18/03/2026
przeciw otępieniu   Pimavanserin  
Roztwór doustny
Stabilność preparatów farmaceutycznych Trwałość w mieszaninie Czynnik wpływający na trwałość Zgodność Bibliografia pdf
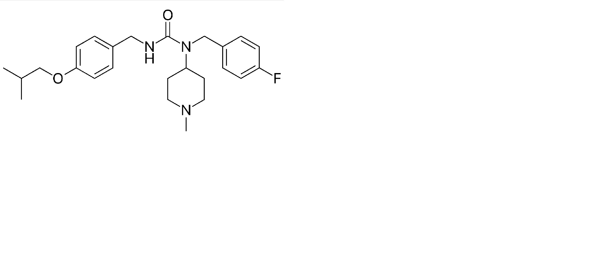
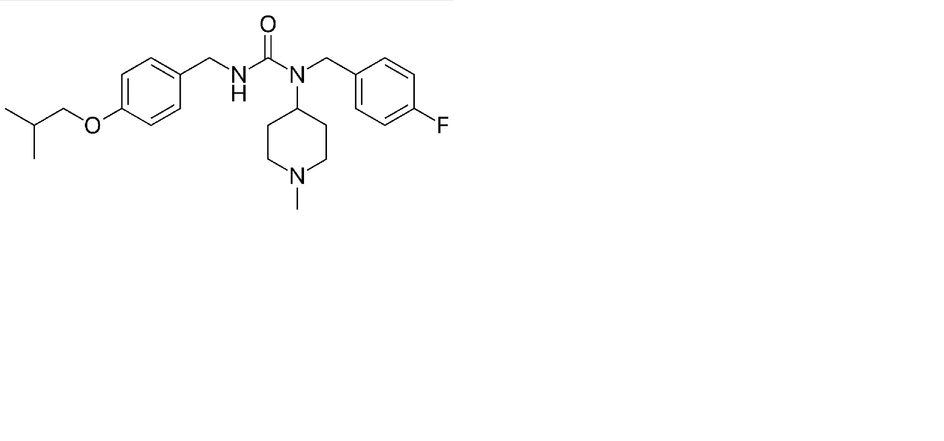
   Struktura chemiczna  

Roztwór doustny
Stabilność preparatów farmaceutycznych   Roztwór doustny   Stabilność preparatów farmaceutycznych : Pimavanserin     
Pojemnik Origine Substancja pomocniczna Temperatura Przechowywanie Czas trwania stabilności Bibliografia
Brak informacji Kapsułki 34 mg
Nuplazid®
Woda oczyszczona >> 40 mL
25°C Nie wyszczególniony
24 Godzina
4484
Brak informacji Kapsułki 34 mg
Nuplazid®
Sok pomarańczowy >> 60 mL
25°C Nie wyszczególniony
24 Godzina
4484
Brak informacji Kapsułki 34 mg
Nuplazid®
Mus jabłkowy >> 40 g
25°C Nie wyszczególniony
24 Godzina
4484

  Mentions Légales