Senaste uppdateringen :
18/03/2026
anti demens   Pimavanserin  
Oral lösning
Stabilitet av läkemedel Stabilitet i blandningar Faktorer som påverkar stabiliteten Kompatibilitet Hänvisningar pdf
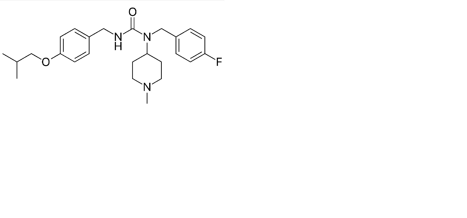
   Molekylstruktur  

Oral lösning
Stabilitet av läkemedel   Oral lösning   Stabilitet av läkemedel : Pimavanserin     
Behållare Origine Hjälpämne Temperatur Förvaring Stabilitets varaktighet Hänvisningar
Ej angiven Kapslar 34 mg
Nuplazid®
Renat vatten >> 40 mL
25°C Ej angiven
24 Timma
4484
Ej angiven Kapslar 34 mg
Nuplazid®
Apelsinjuice >> 60 mL
25°C Ej angiven
24 Timma
4484
Ej angiven Kapslar 34 mg
Nuplazid®
äppelmos >> 40 g
25°C Ej angiven
24 Timma
4484

  Mentions Légales