Останнє оновлення :
03/02/2026
Антидеменція   Pimavanserin  
Розчин для перорального застосування
Стабільність фармацевтичних препаратів Стійкість сумішей Фактори, що впливають на стабільність Сумісність Список літератури pdf
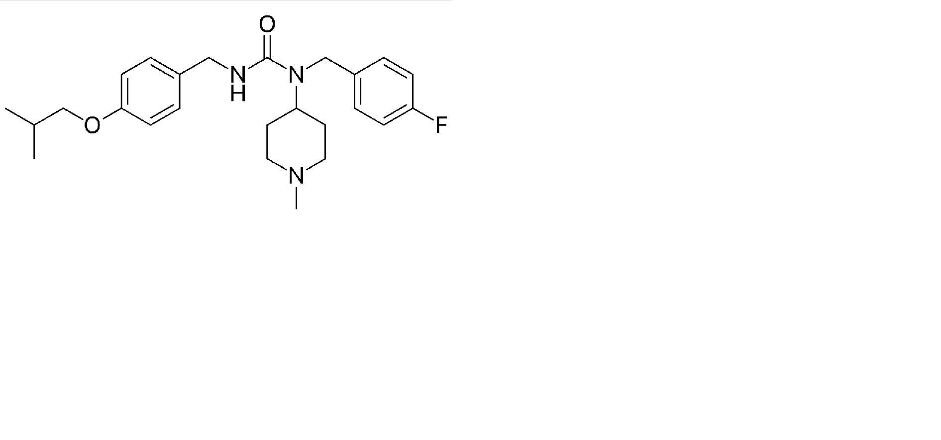
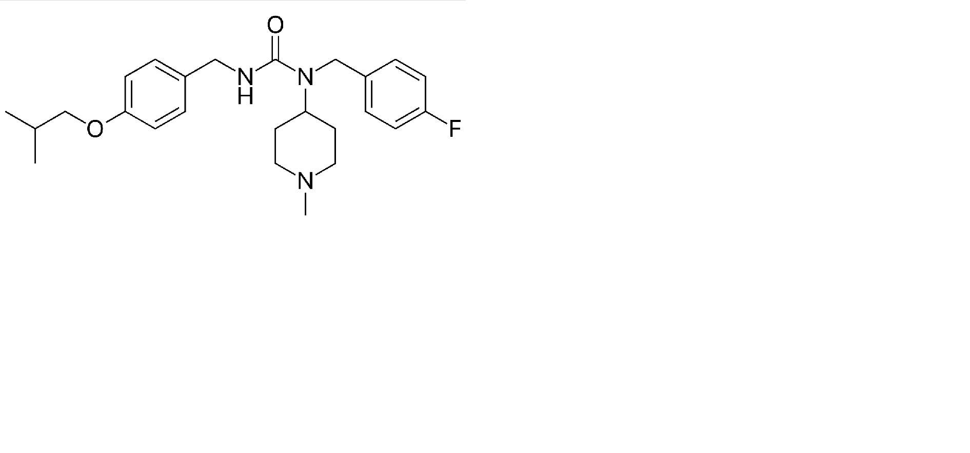
   Хімічна структура  

Розчин для перорального застосування
Список літератури   Розчин для перорального застосування   Список літератури : Pimavanserin  
Тип Публікація
4484 журнал Bokser A D, Holmes Adegbenle Y, Stoisavljevic V, Norton J C.
In Vitro Stability and Recovery Studies of Pimavanserin in Water and in Different Vehicles Orally Administered.
Drugs R D 2022 ;22, 95–104

  Mentions Légales