Viimeisin päivitys :
18/03/2026
anti dementia   Pimavanserin  
Oraaliliuos
Vakaus lääkevalmisteen Stabilius seoksissa Tekijät, jotka vaikuttavat stabiliuteen Yhteensopivuus Viitteet pdf
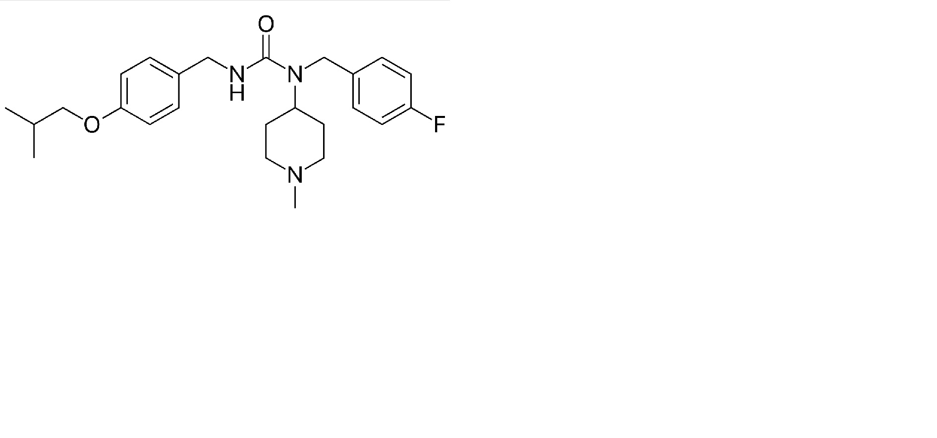
   Kemiallinen rakenne  

Oraaliliuos
Vakaus lääkevalmisteen   Oraaliliuos   Vakaus lääkevalmisteen : Pimavanserin     
Astia Origine Apuaine Lämpötila Säilytys Vakauden kesto Viitteet
Ei määritetty Kapseli 34 mg
Nuplazid®
Puhdistettu vesi >> 40 mL
25°C Ei määritetty
24 tunti
4484
Ei määritetty Kapseli 34 mg
Nuplazid®
Appelsiinimehu >> 60 mL
25°C Ei määritetty
24 tunti
4484
Ei määritetty Kapseli 34 mg
Nuplazid®
Omenasose >> 40 g
25°C Ei määritetty
24 tunti
4484

  Mentions Légales