Pēdējā atjaunošana :
18/03/2026
anti demenci   Pimavanserin  
Orāls šķīdums
Stabilitāte farmaceitisko preparātu Maisījuma stabilitāte Stabilitāti ietekmējoši faktori Saderība Literatūras saraksts pdf
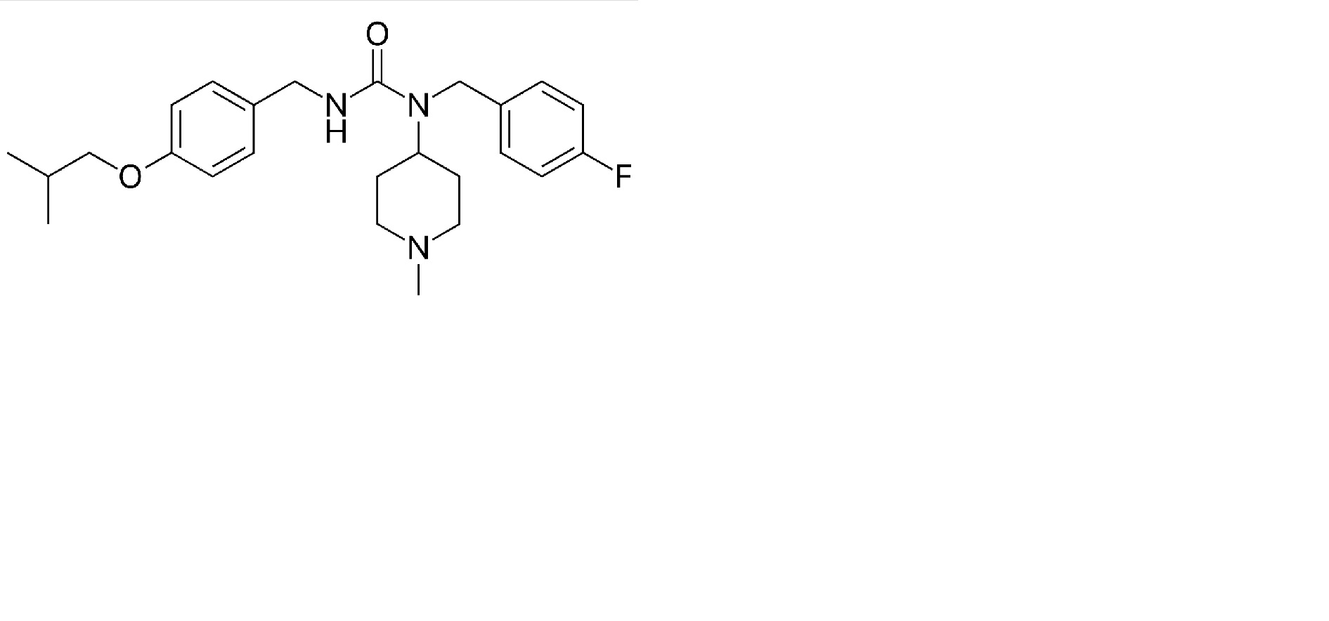
   Ķīmiskā uzbūve   

Orāls šķīdums
Stabilitāte farmaceitisko preparātu   Orāls šķīdums   Stabilitāte farmaceitisko preparātu : Pimavanserin     
Iepakojums Origine Palīgviela Temperatūra Glabāšana Stabilitātes ilgums Literatūras saraksts
Nespecifisks Kapsulas 34 mg
Nuplazid®
Attīrīts ūdens >> 40 mL
25°C Nav specifisks
24 Stunda
4484
Nespecifisks Kapsulas 34 mg
Nuplazid®
Apelsīnu sula >> 60 mL
25°C Nav specifisks
24 Stunda
4484
Nespecifisks Kapsulas 34 mg
Nuplazid®
Ābolu mērce >> 40 g
25°C Nav specifisks
24 Stunda
4484

  Mentions Légales