Cập nhật lần cuối :
18/03/2026
chống chứng mất trí   Pimavanserin  
Dung dịch uống
Tính ổn định của các chế phẩm Độ ổn định khi trộn lẫn Những yếu tố ảnh hưởng đến độ ổn định Khả năng tương thích Tài liệu tham khảo Pdf
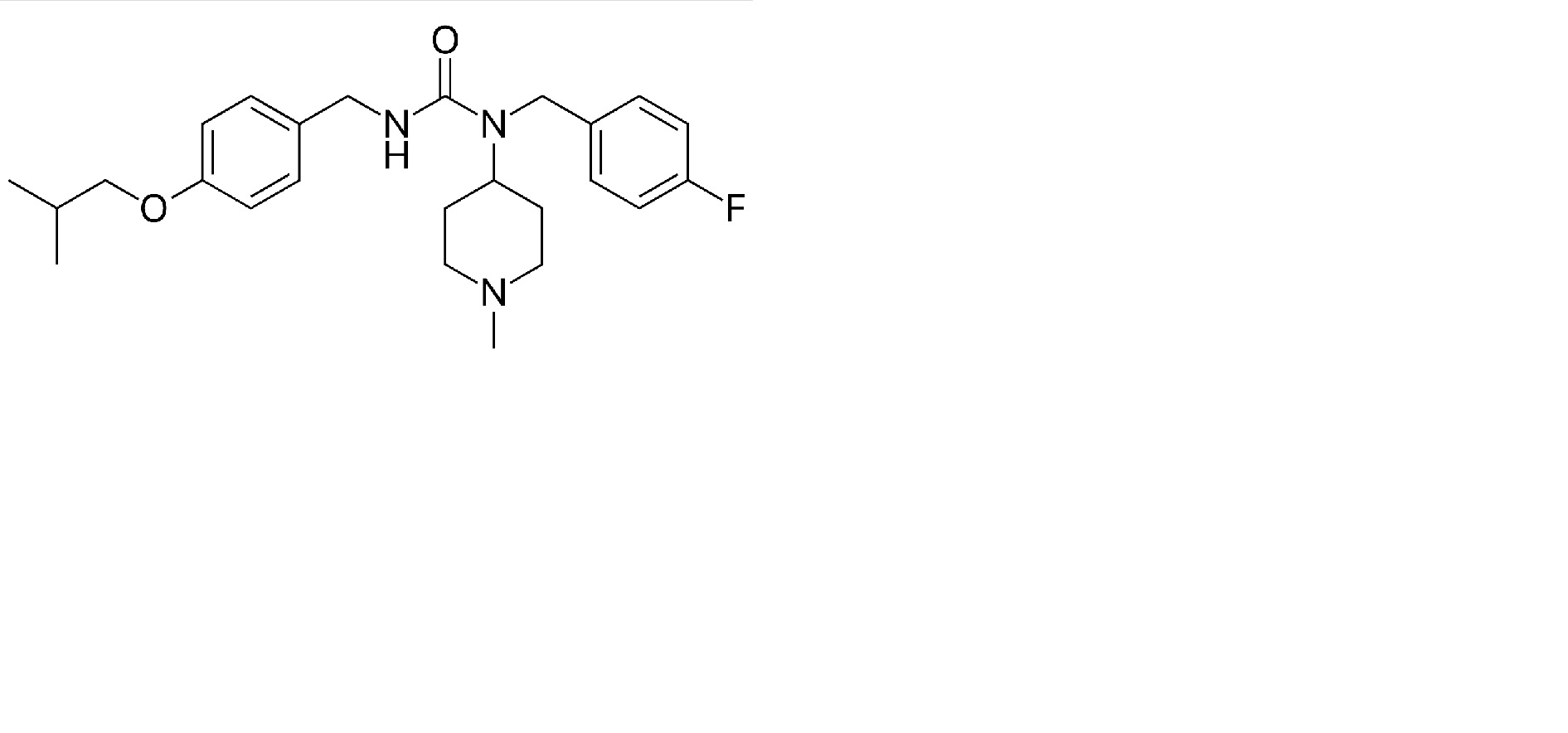
   Cấu trúc hóa học  

Dung dịch uống
Tính ổn định của các chế phẩm   Dung dịch uống   Tính ổn định của các chế phẩm : Pimavanserin     
Bao bì Nguyên bản Tá dược Nhiệt độ Bảo quản Thời gian ổn định Mục lục
Không rõ Viên nang 34 mg
Nuplazid®
Nước tinh khiết >> 40 mL
25°C Không rõ
24 Giờ
4484
Không rõ Viên nang 34 mg
Nuplazid®
nước cam >> 60 mL
25°C Không rõ
24 Giờ
4484
Không rõ Viên nang 34 mg
Nuplazid®
táo nghiền >> 40 g
25°C Không rõ
24 Giờ
4484

  Mentions Légales