Posledná aktualizácia :
17/12/2025
proti demencii   Pimavanserin  
Perorálny roztok
Stabilita farmaceutických prípravkov Stabilita v zmesiach Faktory ovplyvňujúce stabilitu Kompatibility Odkazy na literatúru PDF
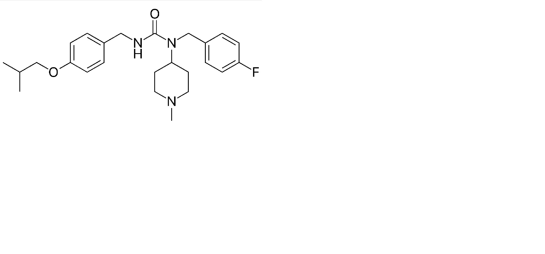
   Chemický vzorec  

Perorálny roztok
Stabilita farmaceutických prípravkov   Perorálny roztok   Stabilita farmaceutických prípravkov : Pimavanserin     
obal Pôvod Pomocná látka teplota uchovávanie Trvanie stability odkazy na lieteratúru
nešpecifikované Kapsuly 34 mg
Nuplazid®
Čistená voda >> 40 mL
25°C nešpecifikované
24 hodín
4484
nešpecifikované Kapsuly 34 mg
Nuplazid®
Pomarančový džús >> 60 mL
25°C nešpecifikované
24 hodín
4484
nešpecifikované Kapsuly 34 mg
Nuplazid®
Jablkové pyré >> 40 g
25°C nešpecifikované
24 hodín
4484

  Mentions Légales