Senaste uppdateringen :
31/03/2026
Diverse   Quetiapine fumarate  
Oral lösning
Stabilitet av läkemedel Stabilitet i blandningar Faktorer som påverkar stabiliteten Kompatibilitet Hänvisningar pdf
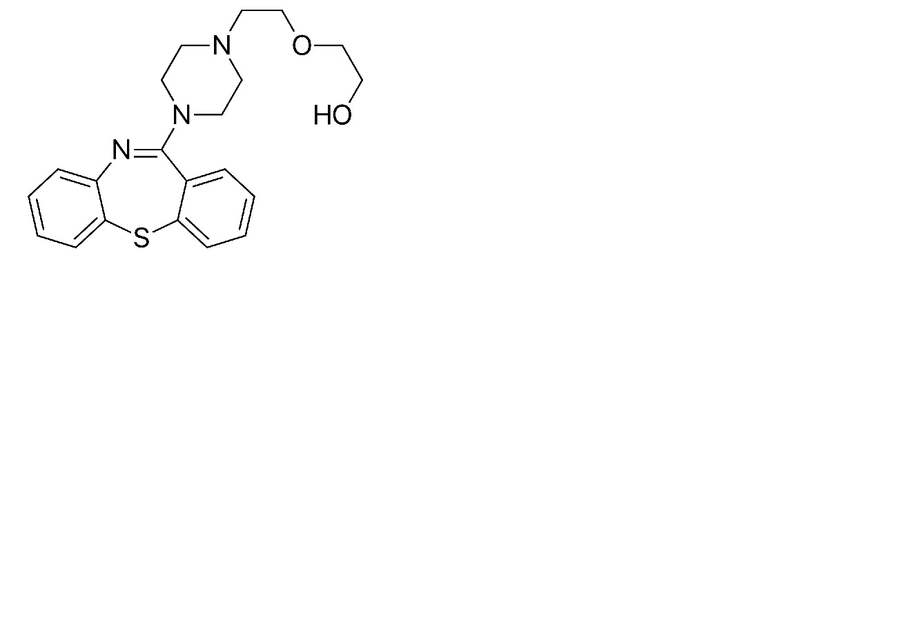
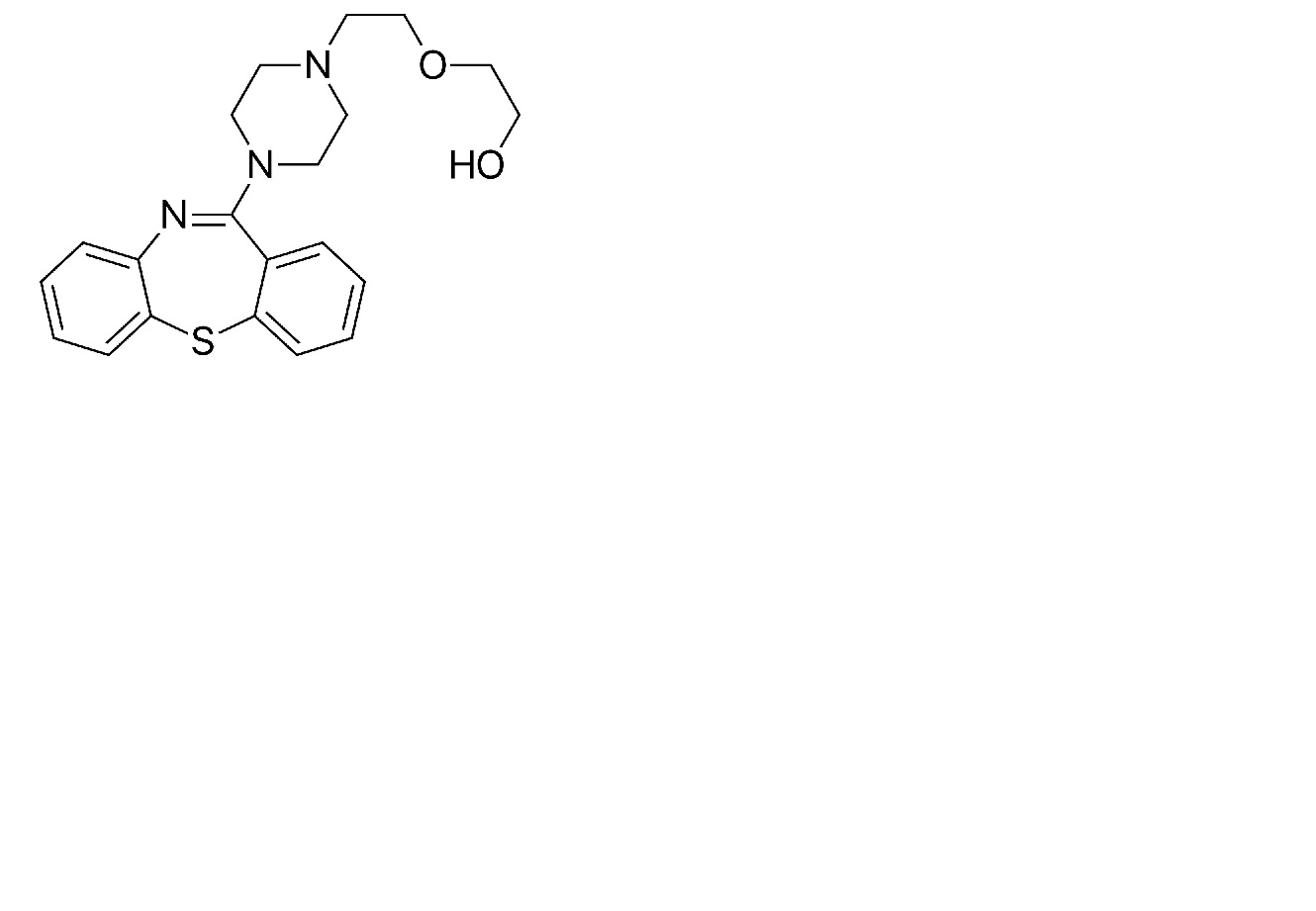
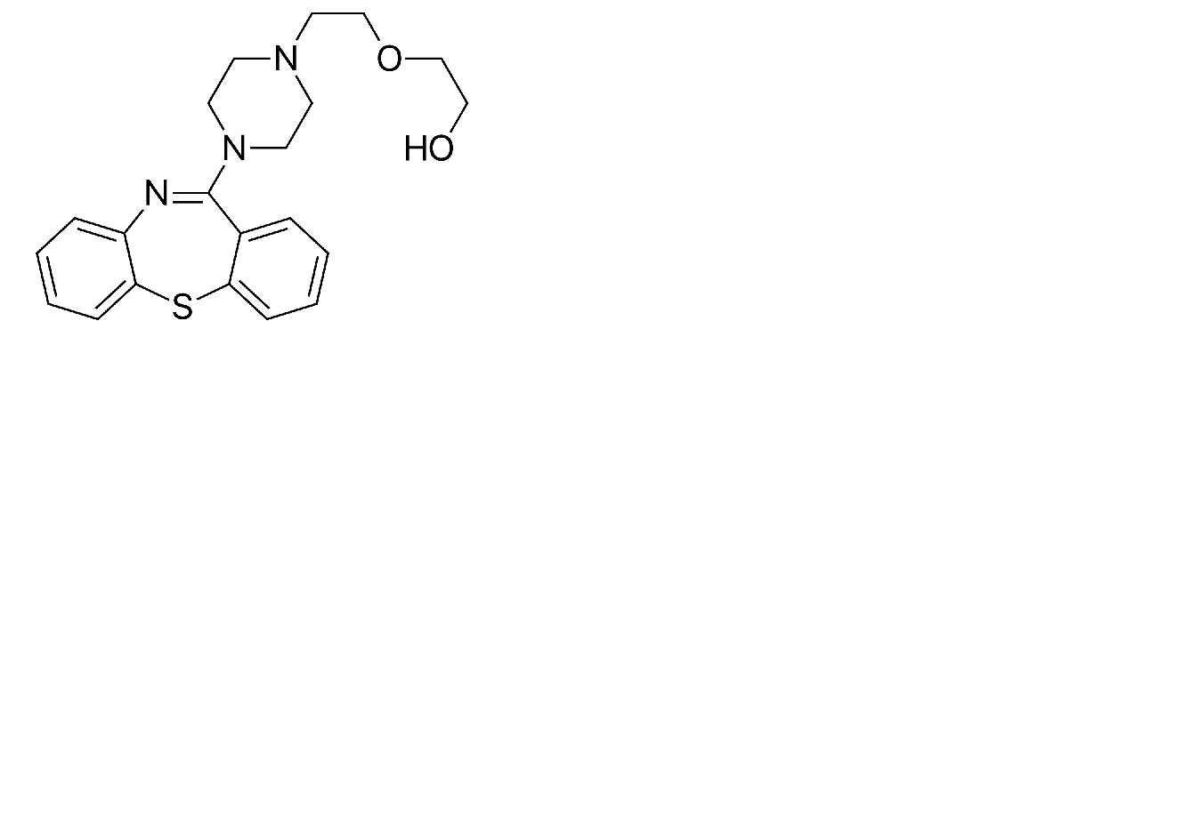
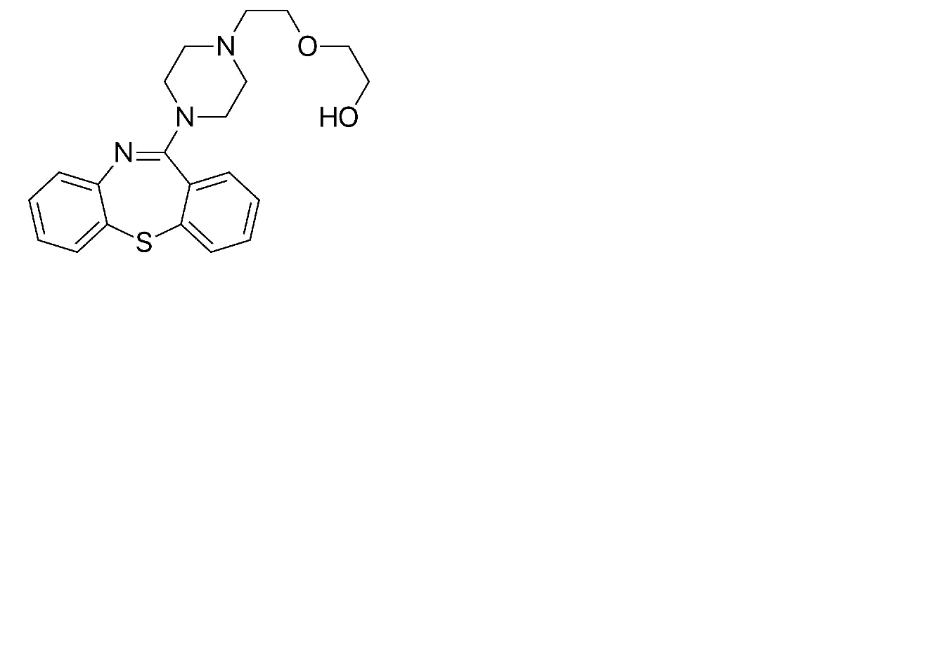
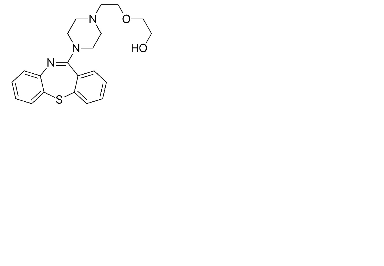
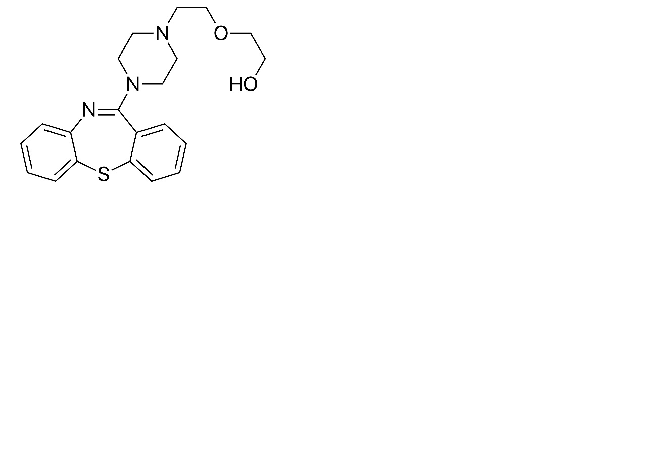
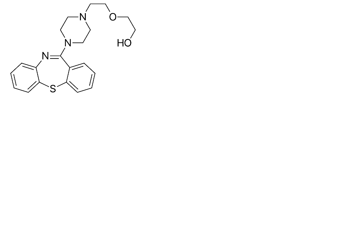
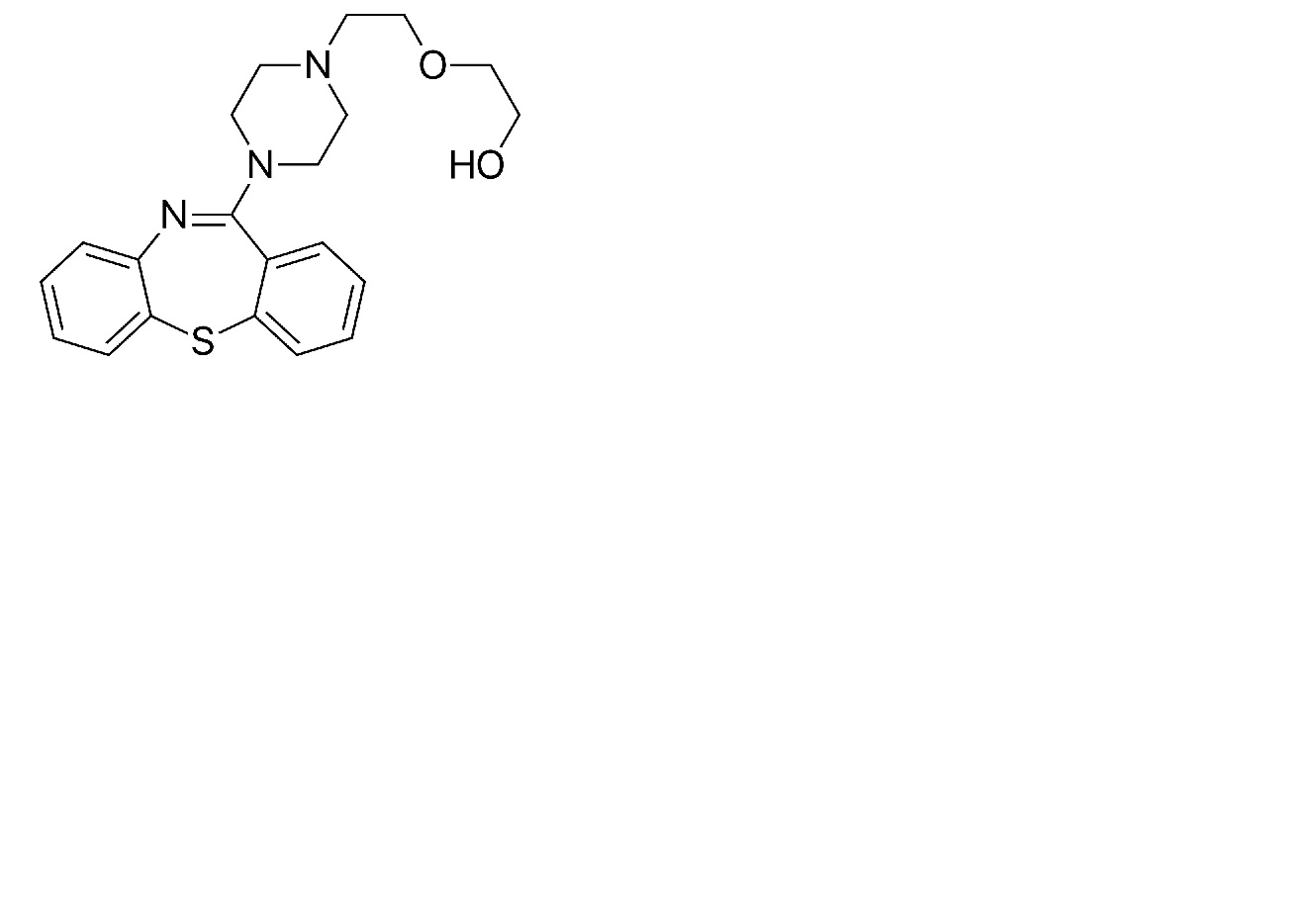
   Molekylstruktur  

Oral lösning
Stabilitet av läkemedel   Oral lösning   Stabilitet av läkemedel : Quetiapine fumarate     
Behållare Origine Hjälpämne Temperatur Förvaring Stabilitets varaktighet Hänvisningar
Plastflaska Tabletter 400 mg
Alkem®
Orablend® >> 40 mL
22°C Skyddas från ljus
60 Dag
4609

Plastflaska Tabletter 400 mg
Alkem®
Orablend® >> 40 mL
2°C Skyddas från ljus
60 Dag
4609


  Mentions Légales