Siste oppdatering :
31/03/2026
Forskjellig   Quetiapine fumarate  
Mikstur
Stabilitet av farmasøytiske preparater Stabilitet i blandinger Faktorer som påvirker stabiliteten Kompatibilitet Referanser pdf
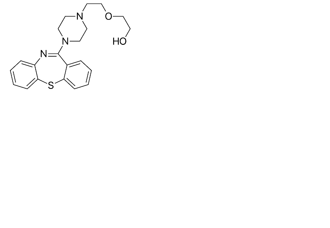
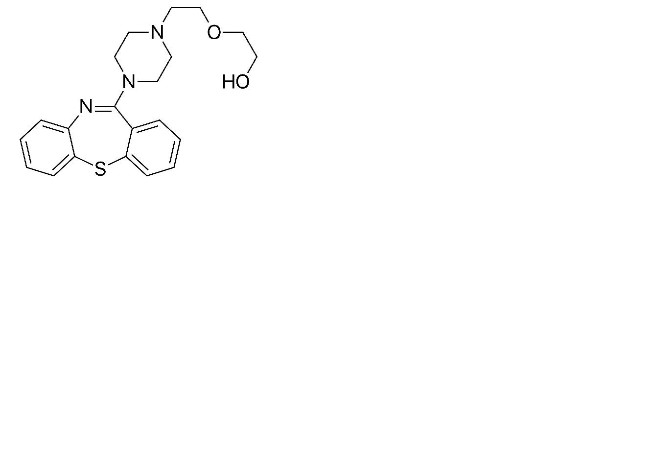
   Kjemisk struktur  

Mikstur
Stabilitet av farmasøytiske preparater   Mikstur   Stabilitet av farmasøytiske preparater : Quetiapine fumarate     
Beholder Origine Hjelpestoff Temperatur Oppbevaring Varighet av stabilitet Referanser
Plastflaske Tabletter 400 mg
Alkem®
Orablend® >> 40 mL
22°C Beskyttes mot lys
60 Dag
4609

Plastflaske Tabletter 400 mg
Alkem®
Orablend® >> 40 mL
2°C Beskyttes mot lys
60 Dag
4609


  Mentions Légales