Последнее обновление :
31/03/2026
Разное   Quetiapine fumarate  
Раствор для перорального приёма
Стабильность фармацевтических препаратов Стабильность смесей Факторы, которые влияют на стабильность Совместимость Библиография pdf
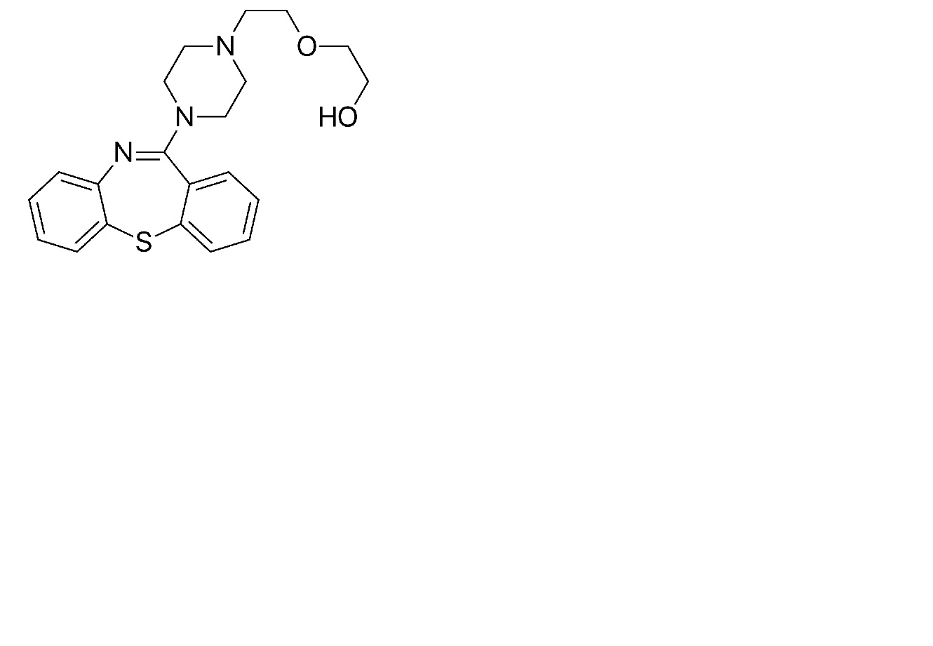
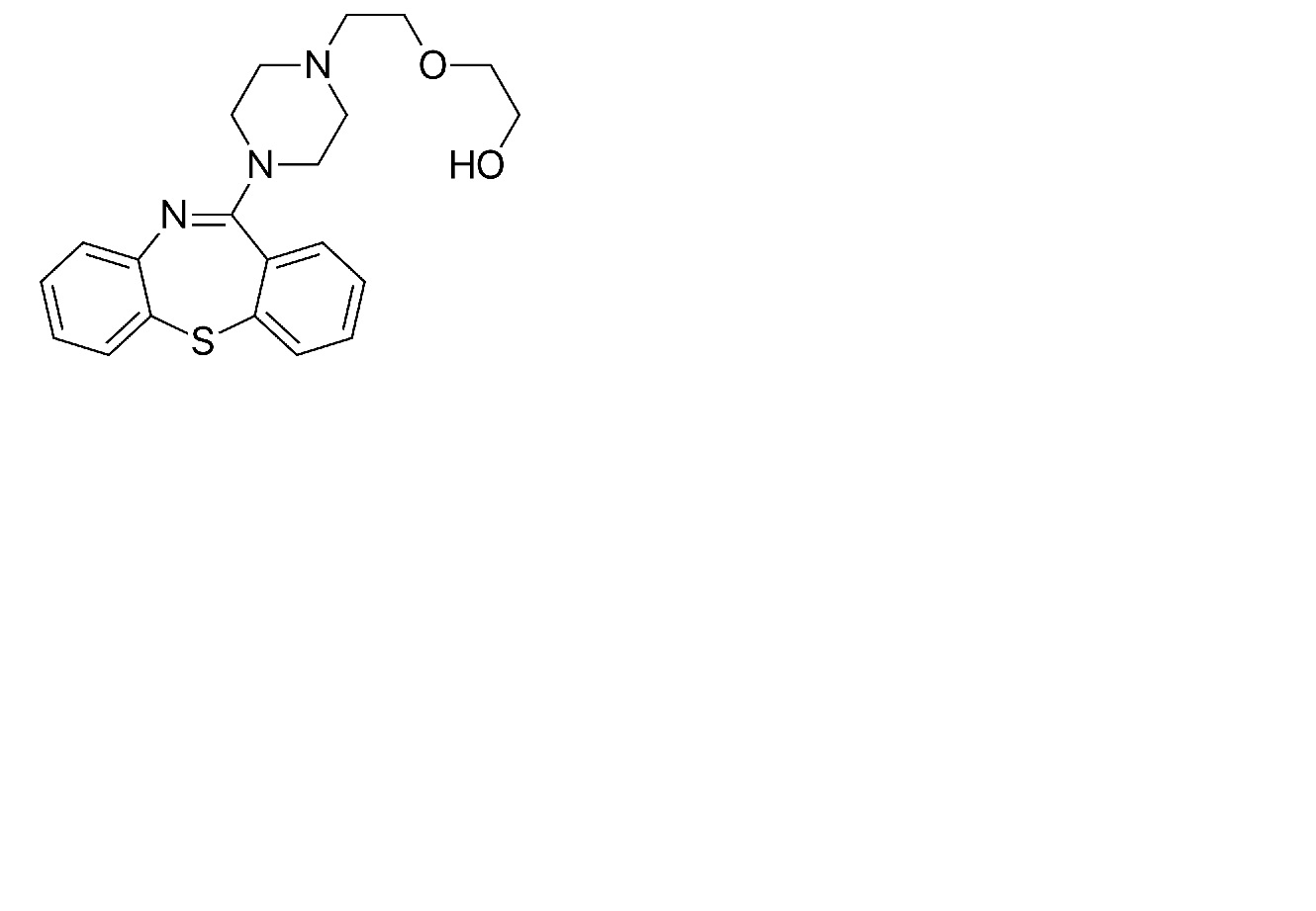
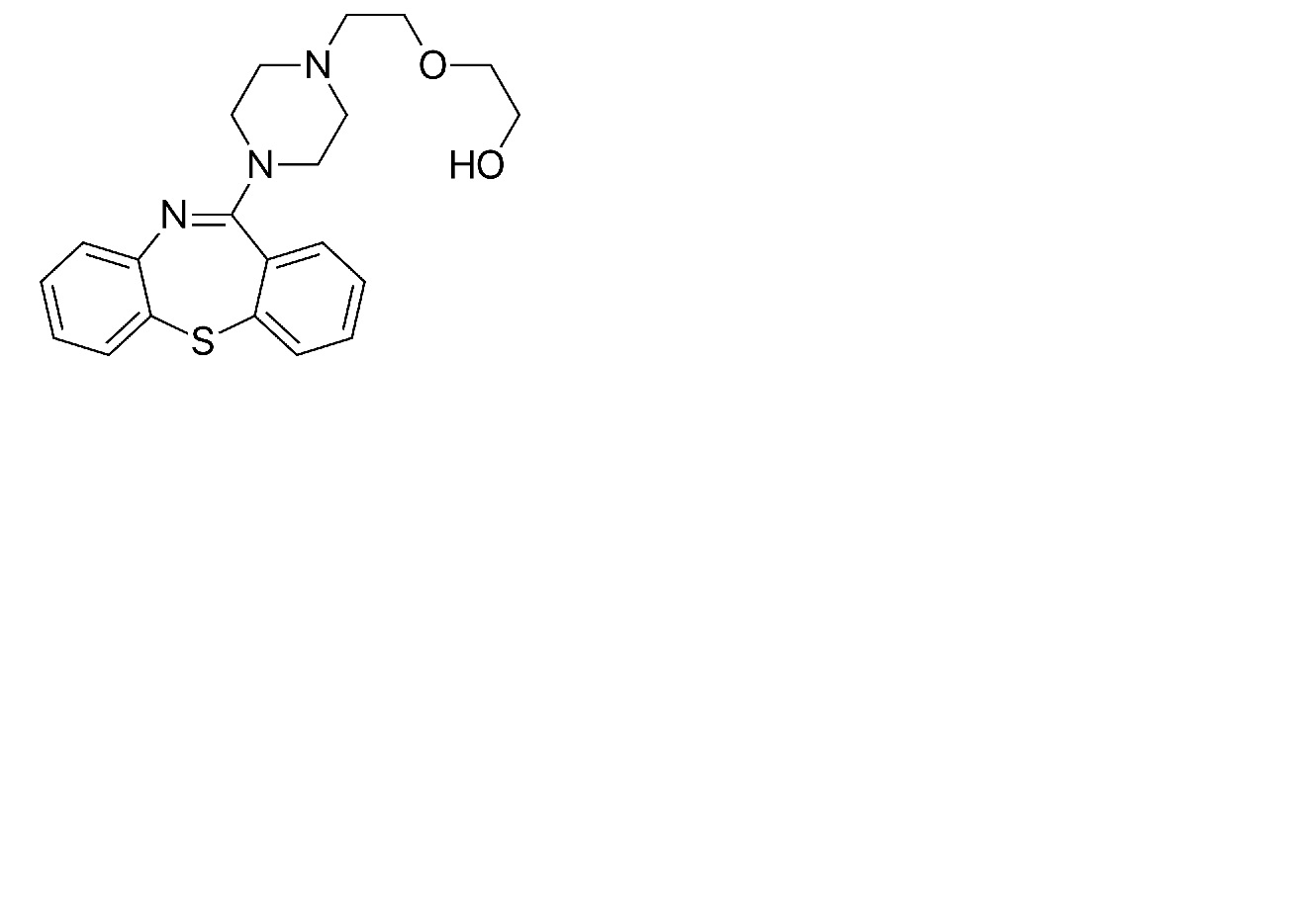
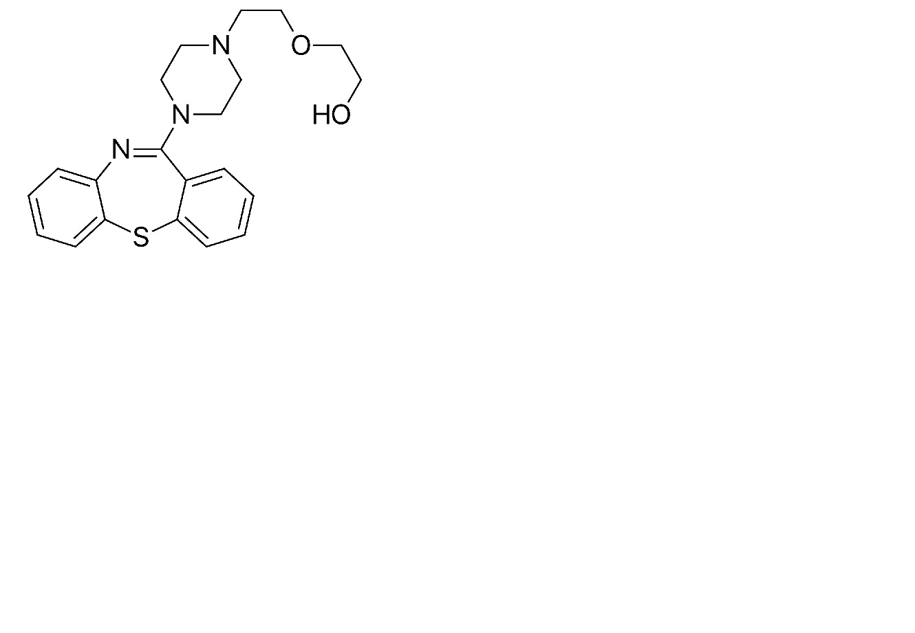
   Химическая структура  

Раствор для перорального приёма
Стабильность фармацевтических препаратов   Раствор для перорального приёма   Стабильность фармацевтических препаратов : Quetiapine fumarate     
Упаковка Origine Наполнитель Температура Хранение Продолжительность стабильности Ссылки
Пластиковая бутылка Таблетки 400 mg
Alkem®
Orablend® >> 40 mL
22°C Защищён от света
60 День
4609

Пластиковая бутылка Таблетки 400 mg
Alkem®
Orablend® >> 40 mL
2°C Защищён от света
60 День
4609


  Mentions Légales