最新更新 :
31/03/2026
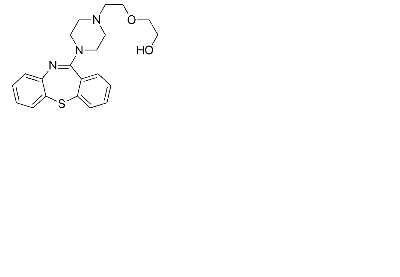
其它   Quetiapine fumarate  
口服剂
制剂的稳定性 混合物稳定性 影响稳定性的因素 兼容性 引用文献 PDF
   化学式  

口服剂
制剂的稳定性   口服剂   制剂的稳定性 : Quetiapine fumarate     
容器 Origine 添加剂 温度 保存 穩定持續時間 引用文献
塑料瓶 片剂 400 mg
Alkem®
Orablend® >> 40 mL
22°C 避光
60 白天
4609

塑料瓶 片剂 400 mg
Alkem®
Orablend® >> 40 mL
2°C 避光
60 白天
4609


  Mentions Légales