Zadnji put ažurirano :
12/12/2025
razno   Quetiapine fumarate  
oralna otopina
Stabilnost farmaceutskih pripravaka Stabilnost mješavine Stabilizacijski faktor Kompatibilnosti Bibliografija pdf
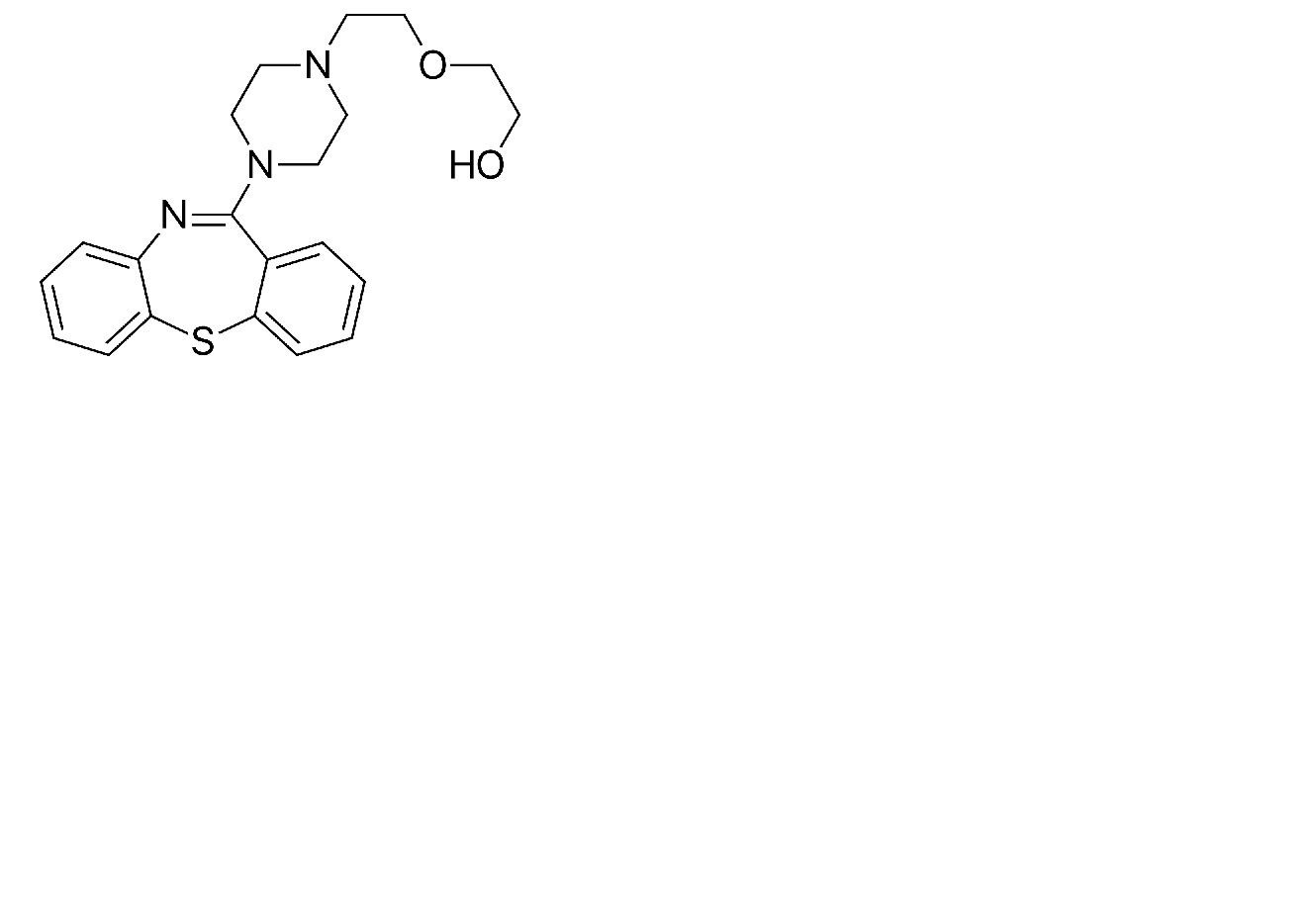
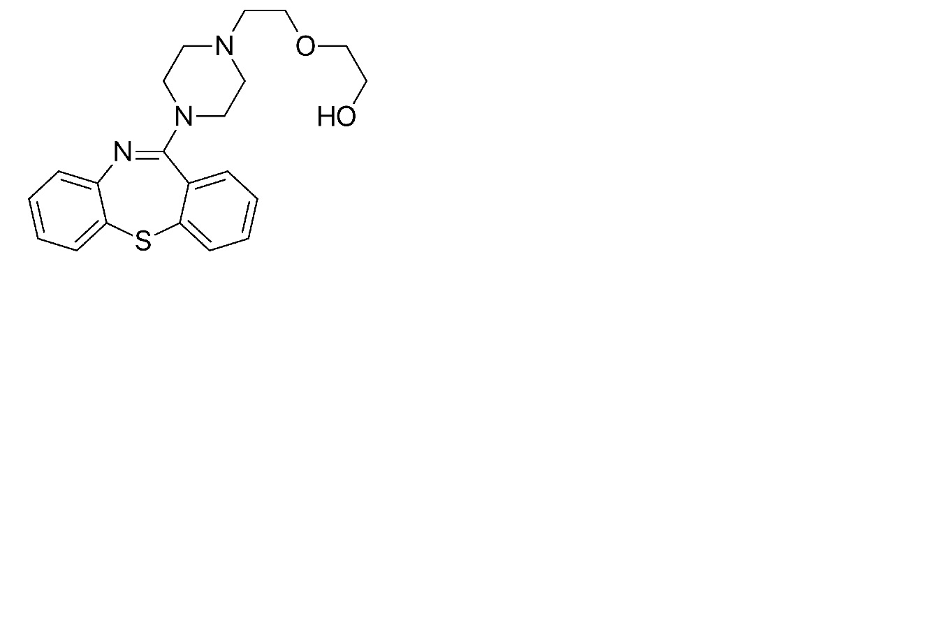
   Kemijska struktura  

oralna otopina
Stabilnost farmaceutskih pripravaka   oralna otopina     Stabilnost farmaceutskih pripravaka : Quetiapine fumarate     
Kontejner Origine pomoćna tvar temperatura Konzerviranje Trajanje stabilnosti Bibliografija
plastična boca tablete 400 mg
Alkem®
Orablend® >> 40 mL
22°C Zaštićeno od svjetlosti
60 dan
4609

plastična boca tablete 400 mg
Alkem®
Orablend® >> 40 mL
2°C Zaštićeno od svjetlosti
60 dan
4609


  Mentions Légales