Poslední aktualizace :
31/03/2026
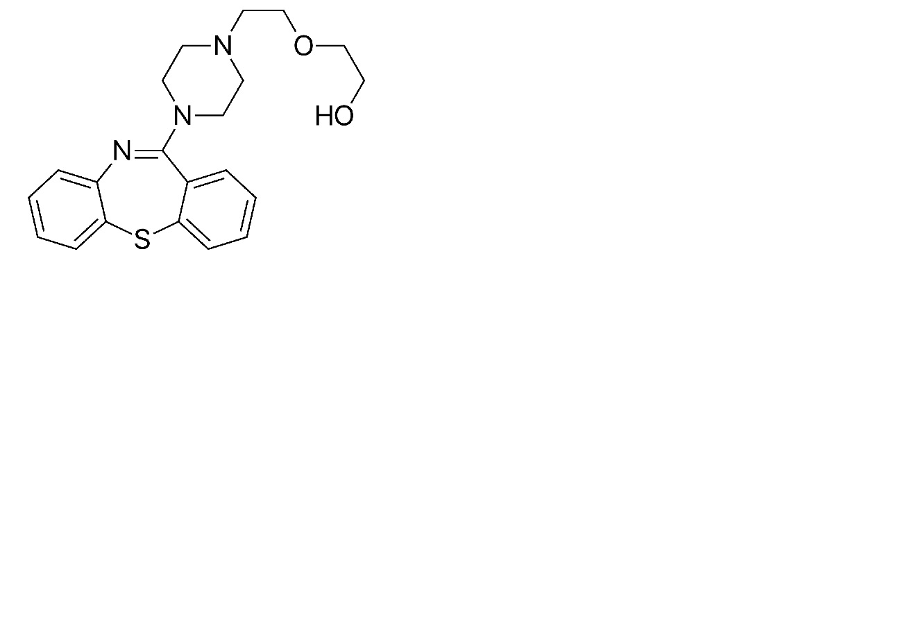
Různé   Quetiapine fumarate  
Perorální roztok
Stabilita farmaceutických přípravků Stabilita směsí Faktory ovlivňující stabilitu Kompatibilita Odkazy pdf
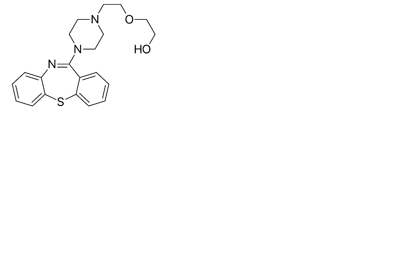
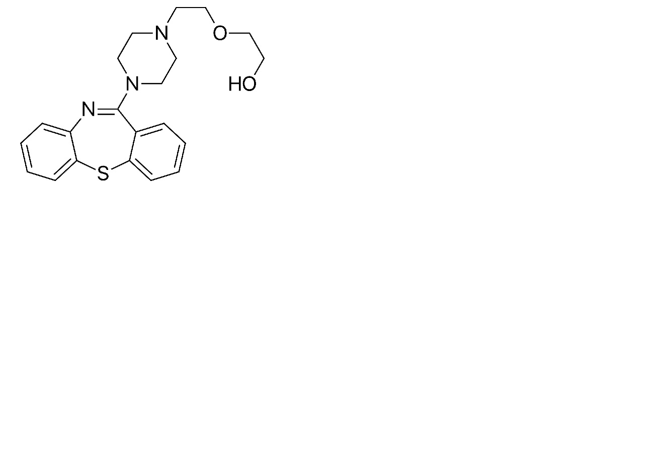
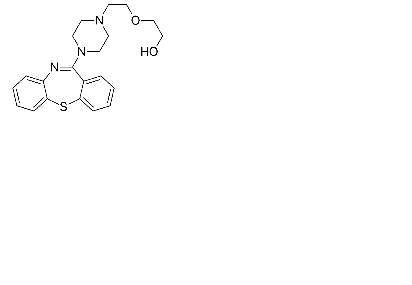
   Chemický vzorec  

Perorální roztok
Stabilita farmaceutických přípravků   Perorální roztok   Stabilita farmaceutických přípravků : Quetiapine fumarate     
Obal Origine Pomocné látky Teplota Uchovávání Trvání stability Odkazy
plastová láhev tablety 400 mg
Alkem®
Orablend® >> 40 mL
22°C Chráněno před světlem
60 Den
4609

plastová láhev tablety 400 mg
Alkem®
Orablend® >> 40 mL
2°C Chráněno před světlem
60 Den
4609


  Mentions Légales