Seneste opdatering :
31/03/2026
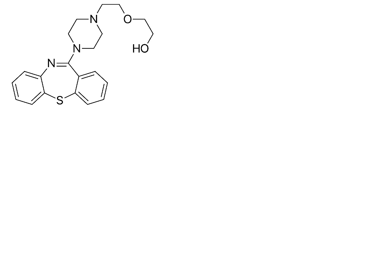
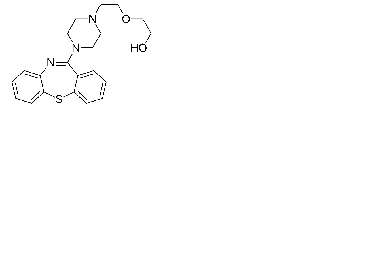
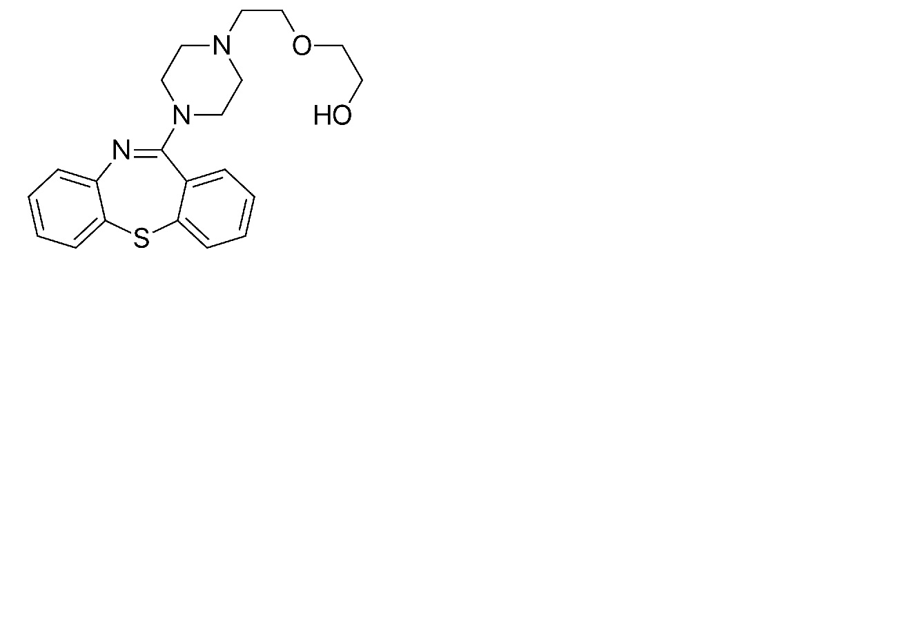
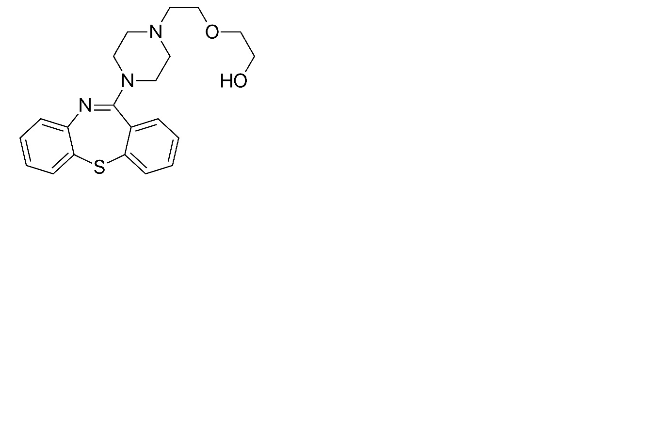
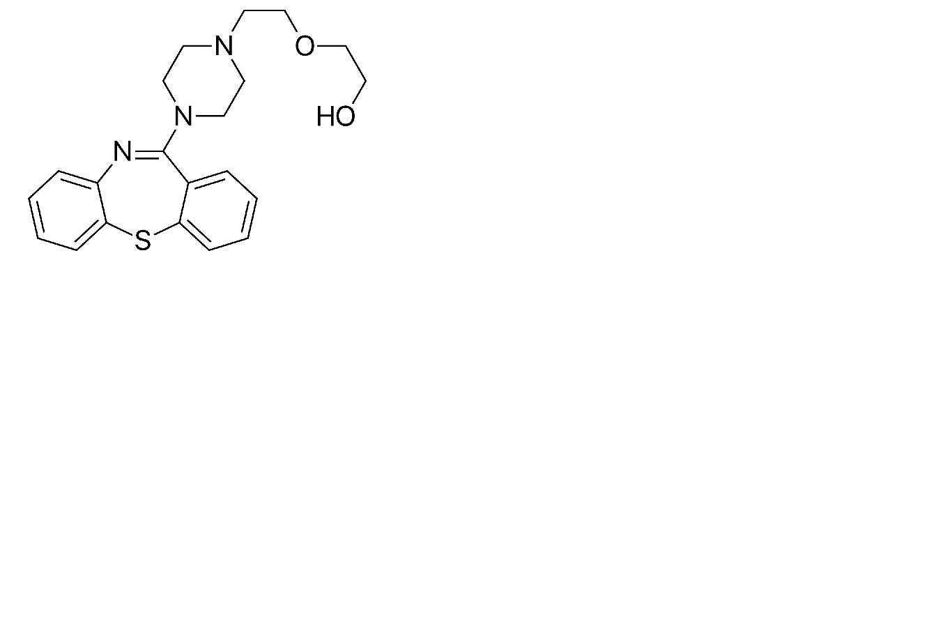
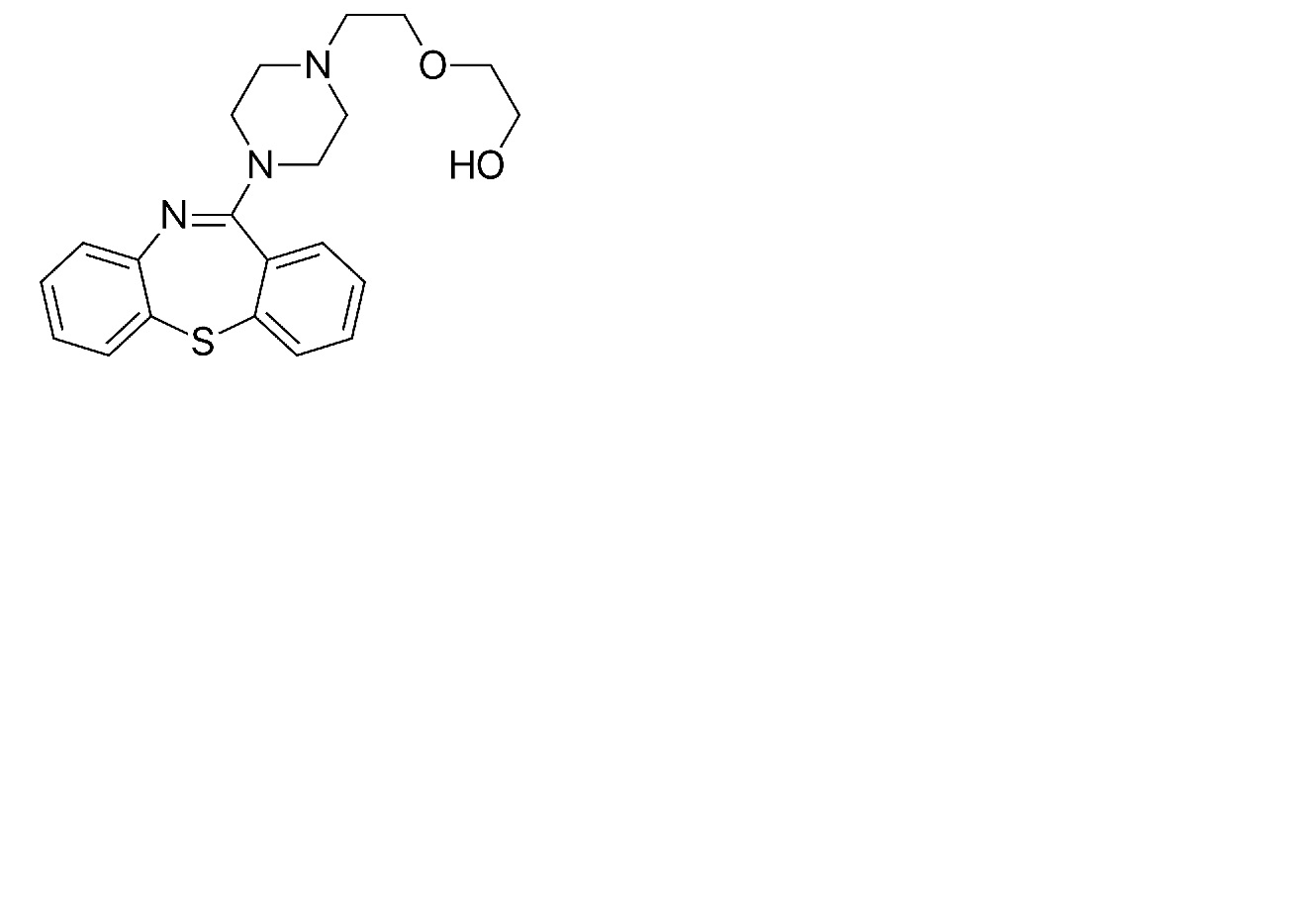
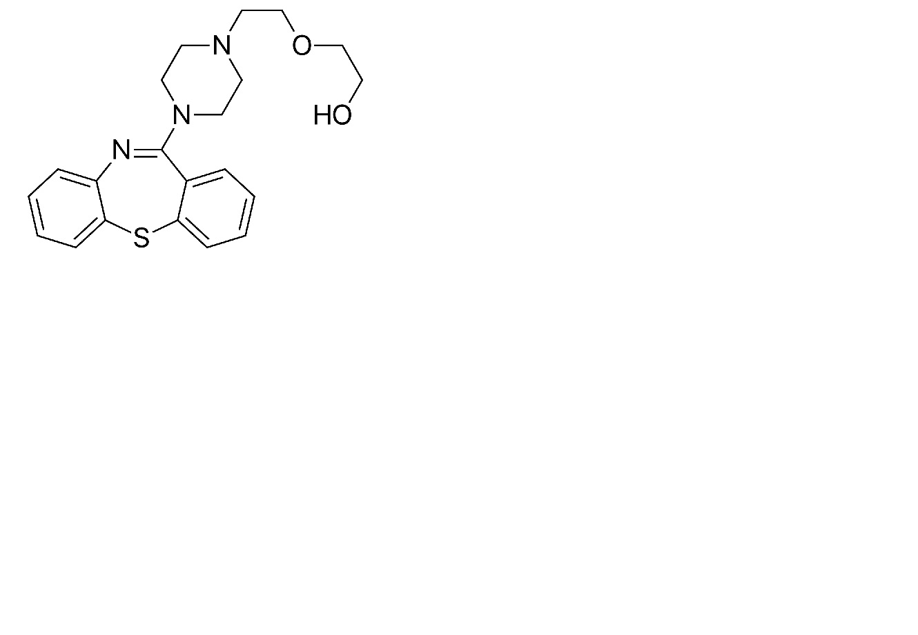
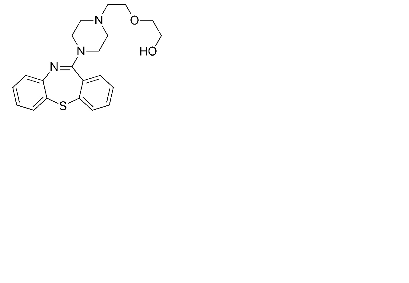
Diverse   Quetiapine fumarate  
Oral opløsning
Stabilitet af farmaceutiske tilberedninger Stabilitet i blandinger Faktorer der påvirker stabiliteten Kompatibilitet Bibliografi pdf
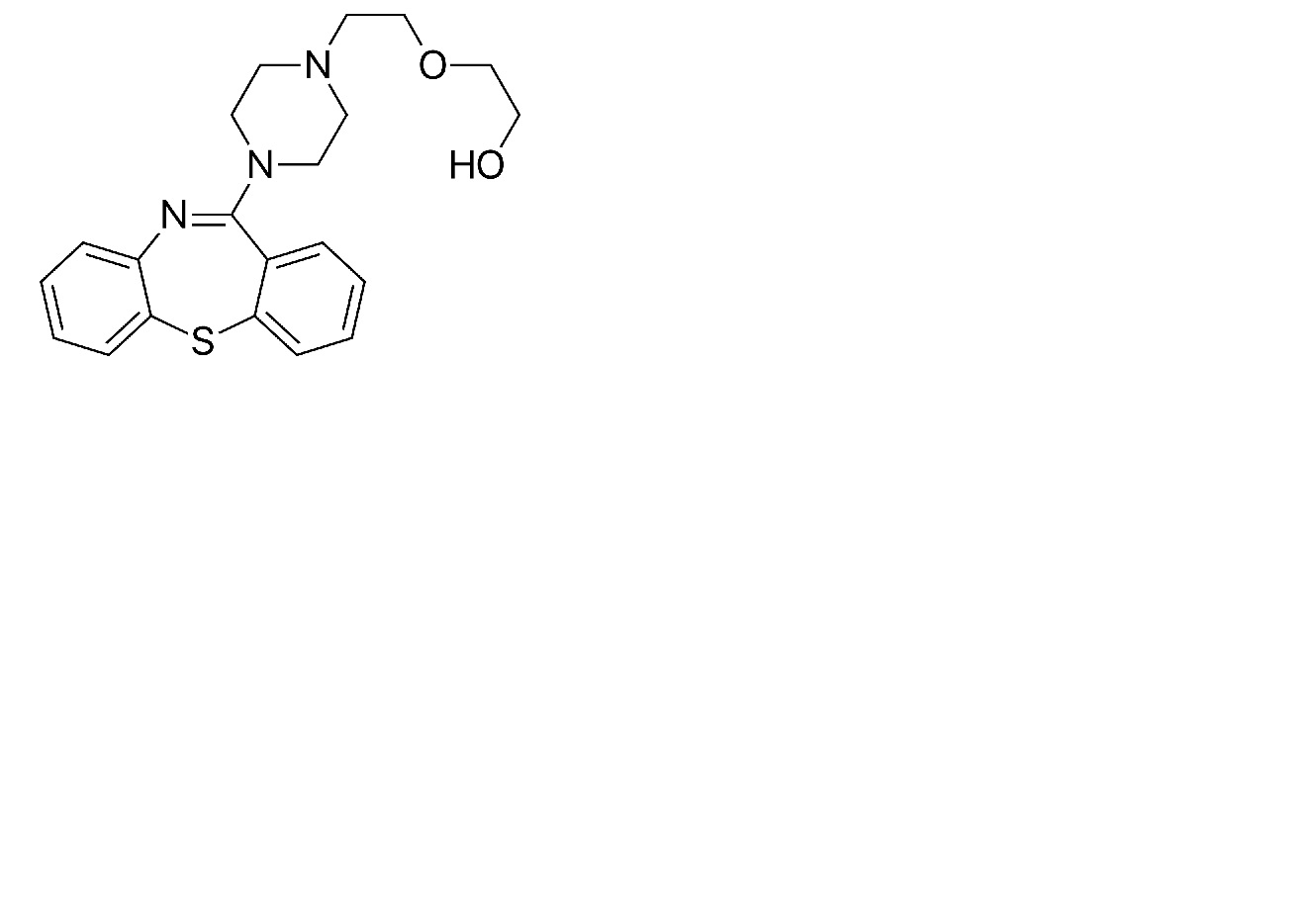
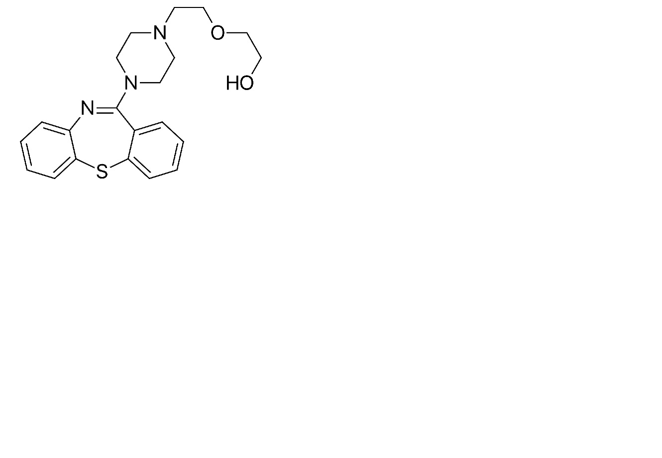
   Kemisk struktur  

Oral opløsning
Stabilitet af farmaceutiske tilberedninger   Oral opløsning   Stabilitet af farmaceutiske tilberedninger : Quetiapine fumarate     
Beholder Origine Hjælpestof Temperatur Konservering Varighed af stabilitet Bibliografi
Plastflaske Tabletter 400 mg
Alkem®
Orablend® >> 40 mL
22°C Beskyt mod lys
60 Dag
4609

Plastflaske Tabletter 400 mg
Alkem®
Orablend® >> 40 mL
2°C Beskyt mod lys
60 Dag
4609


  Mentions Légales