最新更新 :
31/03/2026
様々なもの   Quetiapine fumarate  
経口液
調剤時の安定性 混合時の安定性 安定性に影響する因子 互換性 引用文献 PDF
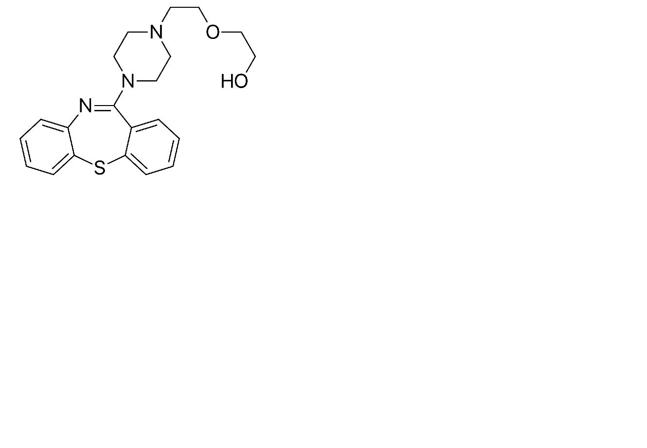
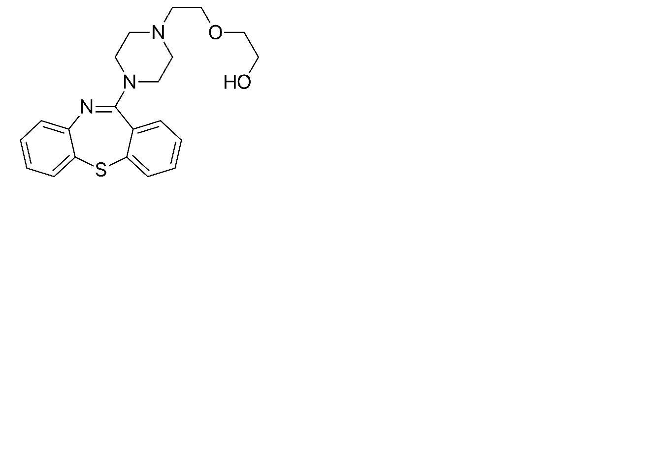
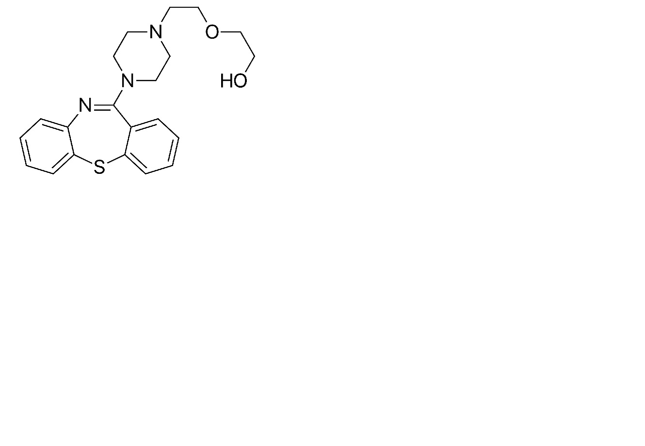
   化学構造  

経口液
調剤時の安定性   経口液   調剤時の安定性 : Quetiapine fumarate     
容器 Origine 添加剤 温度 保管 安定期間 引用文献
プラスチックボトル 錠剤 400 mg
Alkem®
Orablend® >> 40 mL
22°C 遮光
60 日
4609

プラスチックボトル 錠剤 400 mg
Alkem®
Orablend® >> 40 mL
2°C 遮光
60 日
4609


  Mentions Légales