Останнє оновлення :
31/03/2026
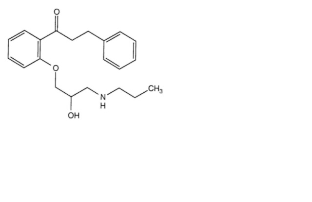
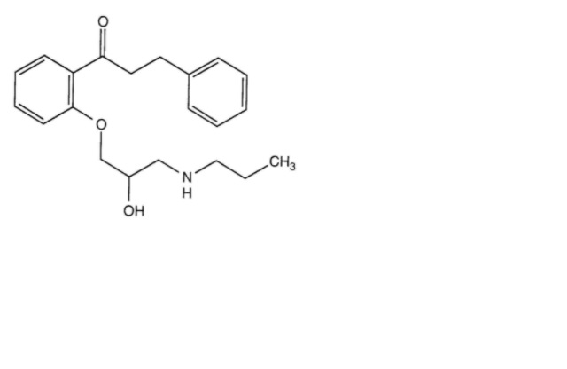
Антиаритмічний   Propafenone Hydrochloride  
Розчин для перорального застосування
ін'єкція
Стабільність фармацевтичних препаратів Стійкість сумішей Фактори, що впливають на стабільність Сумісність Список літератури pdf
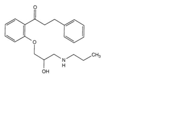
   Хімічна структура  

Розчин для перорального застосування
Стійкість сумішей   Розчин для перорального застосування   Стійкість сумішей : Propafenone Hydrochloride     
7 / 5 000 Résultats de traduction Немає даних

  Mentions Légales