Τελευταία ενημέρωση :
31/03/2026
Αντιαρρυθμικό   Propafenone Hydrochloride  
Πόσιμο διάλυμα
Ενέσιμο
Σταθερότητα και συμβατότητα των φαρμάκων Σταθερότητα σε μίγματα Παράγοντας που επηρεάζει τη σταθερότητα Συμβατότητες Βιβλιογραφία pdf
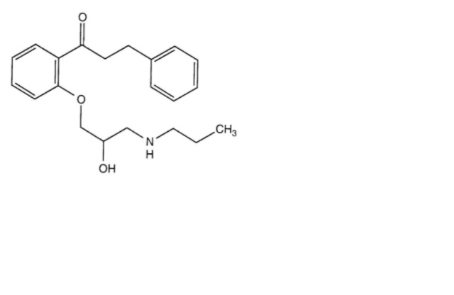
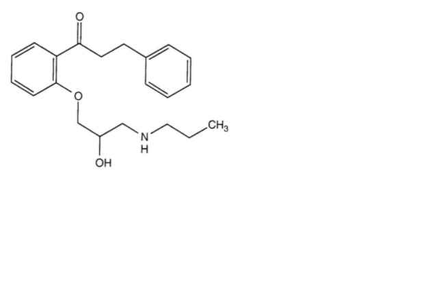
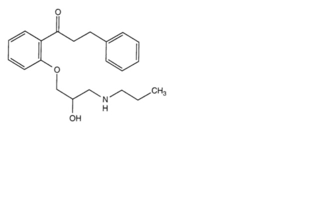
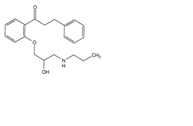
   χημική δομή  

Πόσιμο διάλυμα
Σταθερότητα σε μίγματα   Πόσιμο διάλυμα   Σταθερότητα σε μίγματα : Propafenone Hydrochloride     
Δεν υπάρχουν πληροφορίες

  Mentions Légales