Last update :
31/03/2026
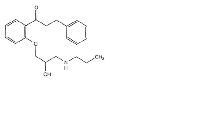
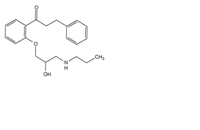
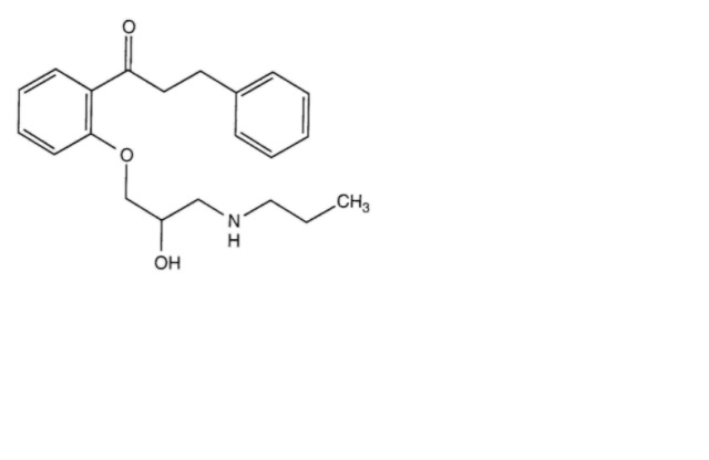
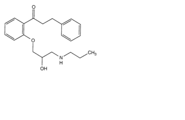
Anti-arrhythmic   Propafenone Hydrochloride  
Oral solution
injection
Stability of pharmaceutical preparations Stability of mixtures Factors which affect stability Compatibility References pdf
   Chemical structure  

Oral solution
Stability of mixtures   Oral solution   Stability of mixtures : Propafenone Hydrochloride     
No data

  Mentions Légales