Последнее обновление :
31/03/2026
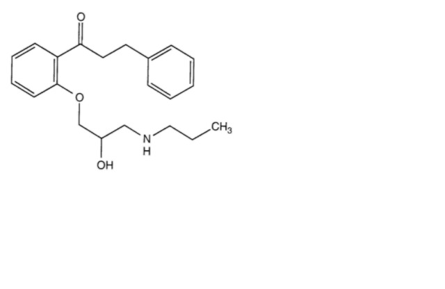
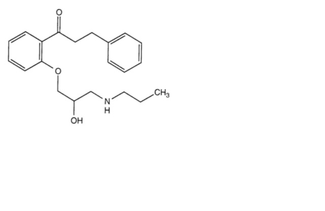
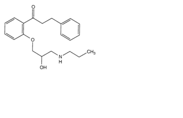
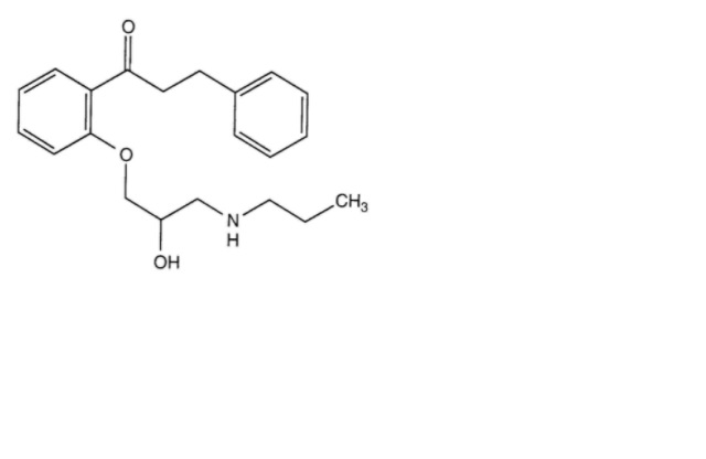
Противоаритмический, антиаритмический   Propafenone Hydrochloride  
Раствор для перорального приёма
Инъекция
Стабильность фармацевтических препаратов Стабильность смесей Факторы, которые влияют на стабильность Совместимость Библиография pdf
   Химическая структура  

Раствор для перорального приёма
Стабильность смесей   Раствор для перорального приёма   Стабильность смесей : Propafenone Hydrochloride     
данных нет

  Mentions Légales