Ostatnia aktualizacja :
31/03/2026
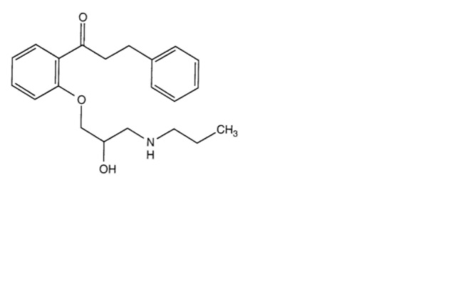
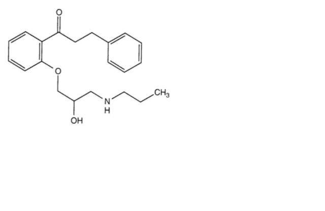
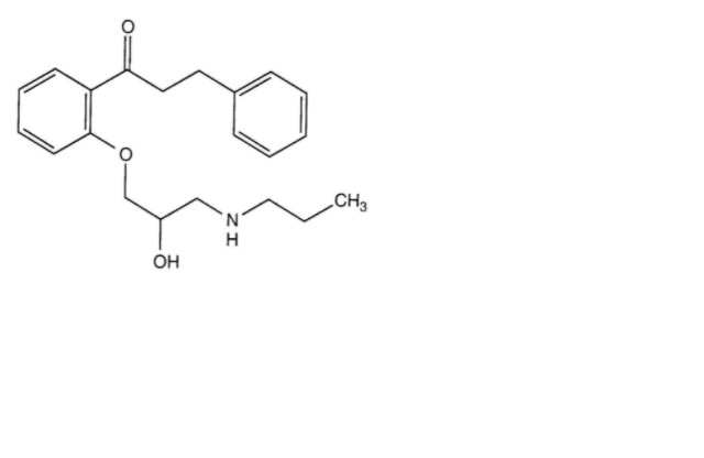
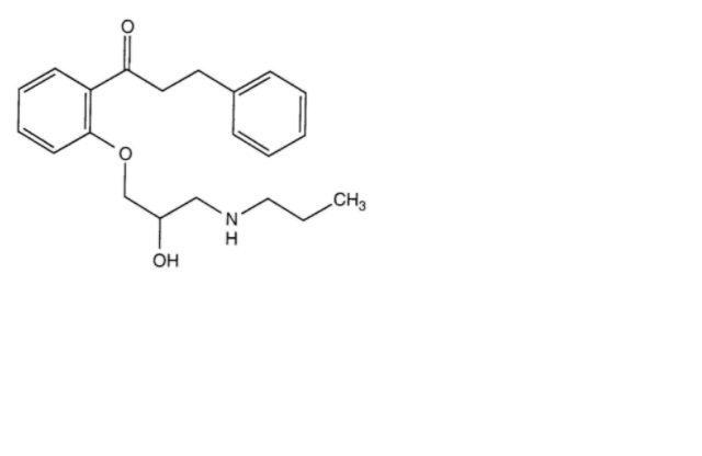
Antyarytmik   Propafenone Hydrochloride  
Roztwór doustny
Injekcje
Stabilność preparatów farmaceutycznych Trwałość w mieszaninie Czynnik wpływający na trwałość Zgodność Bibliografia pdf
   Struktura chemiczna  

Roztwór doustny
Trwałość w mieszaninie   Roztwór doustny   Trwałość w mieszaninie : Propafenone Hydrochloride     
Brak danych

  Mentions Légales