Останнє оновлення :
12/02/2026
Антиаритмічний   Propafenone Hydrochloride  
Розчин для перорального застосування
ін'єкція
Стабільність фармацевтичних препаратів Стійкість сумішей Фактори, що впливають на стабільність Сумісність Список літератури pdf
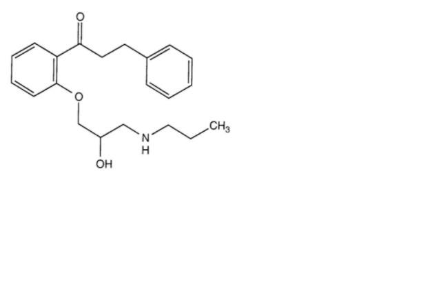
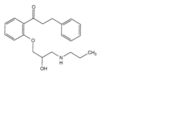
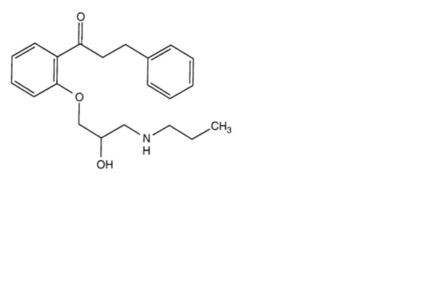
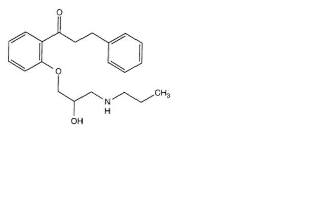
   Хімічна структура  

Розчин для перорального застосування

Фактори, що впливають на стабільність   Розчин для перорального застосування   Фактори, що впливають на стабільність : Propafenone Hydrochloride        
7 / 5 000 Résultats de traduction Немає даних

  Mentions Légales