zadnja posodobitev :
31/03/2026
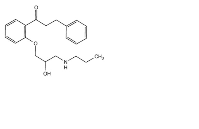
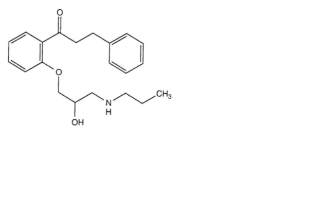
Antiaritmik   Propafenone Hydrochloride  
Peroralna raztopina
Brizgalka
Stabilnost farmacevtskih preparatov Stabilnost mešanice Faktorji, ki vplivajo na stabilnost Kompatibilnost Viri pdf
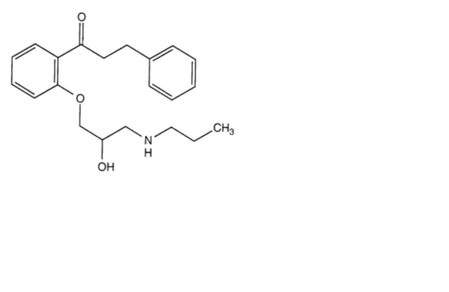
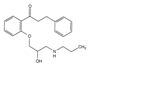
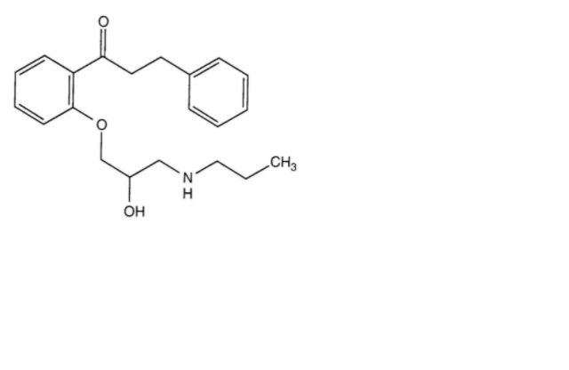
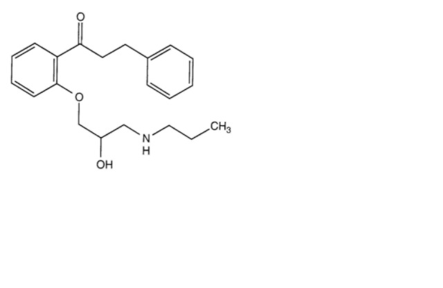
   Kemična formula  

Peroralna raztopina
Stabilnost mešanice   Peroralna raztopina   Stabilnost mešanice : Propafenone Hydrochloride     
ni podatka

  Mentions Légales