Poslední aktualizace :
31/03/2026
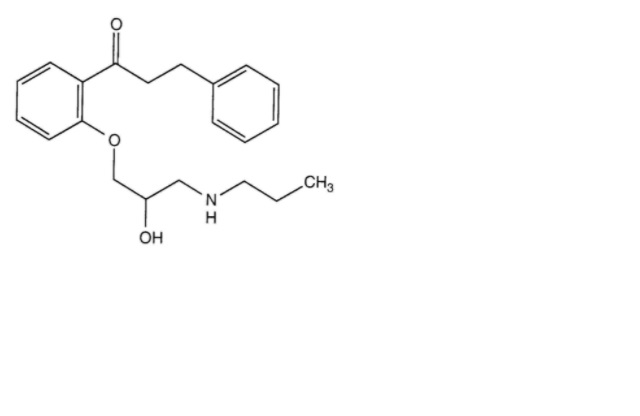
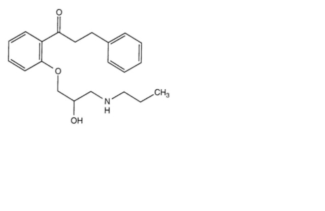
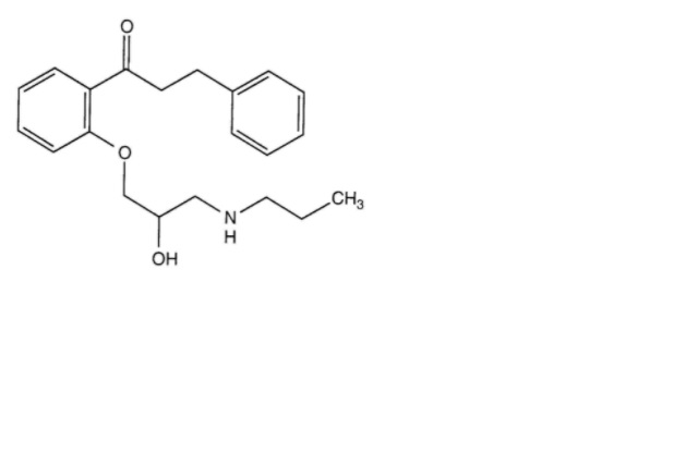
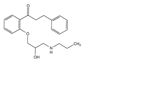
Antiarytmikum   Propafenone Hydrochloride  
Perorální roztok
injekce
Stabilita farmaceutických přípravků Stabilita směsí Faktory ovlivňující stabilitu Kompatibilita Odkazy pdf
   Chemický vzorec  

Perorální roztok
Stabilita směsí   Perorální roztok   Stabilita směsí : Propafenone Hydrochloride     
žádná data

  Mentions Légales