Pēdējā atjaunošana :
31/03/2026
Antiaritmiķis   Propafenone Hydrochloride  
Orāls šķīdums
Injekcija
Stabilitāte farmaceitisko preparātu Maisījuma stabilitāte Stabilitāti ietekmējoši faktori Saderība Literatūras saraksts pdf
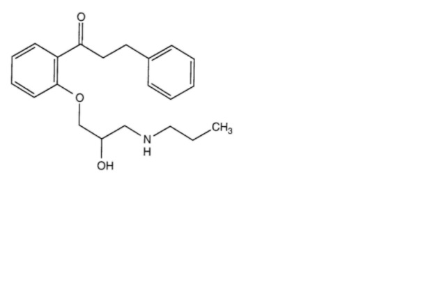
   Ķīmiskā uzbūve   

Orāls šķīdums
Maisījuma stabilitāte   Orāls šķīdums   Maisījuma stabilitāte : Propafenone Hydrochloride     
Nav datu

  Mentions Légales