zadnja posodobitev :
05/12/2025
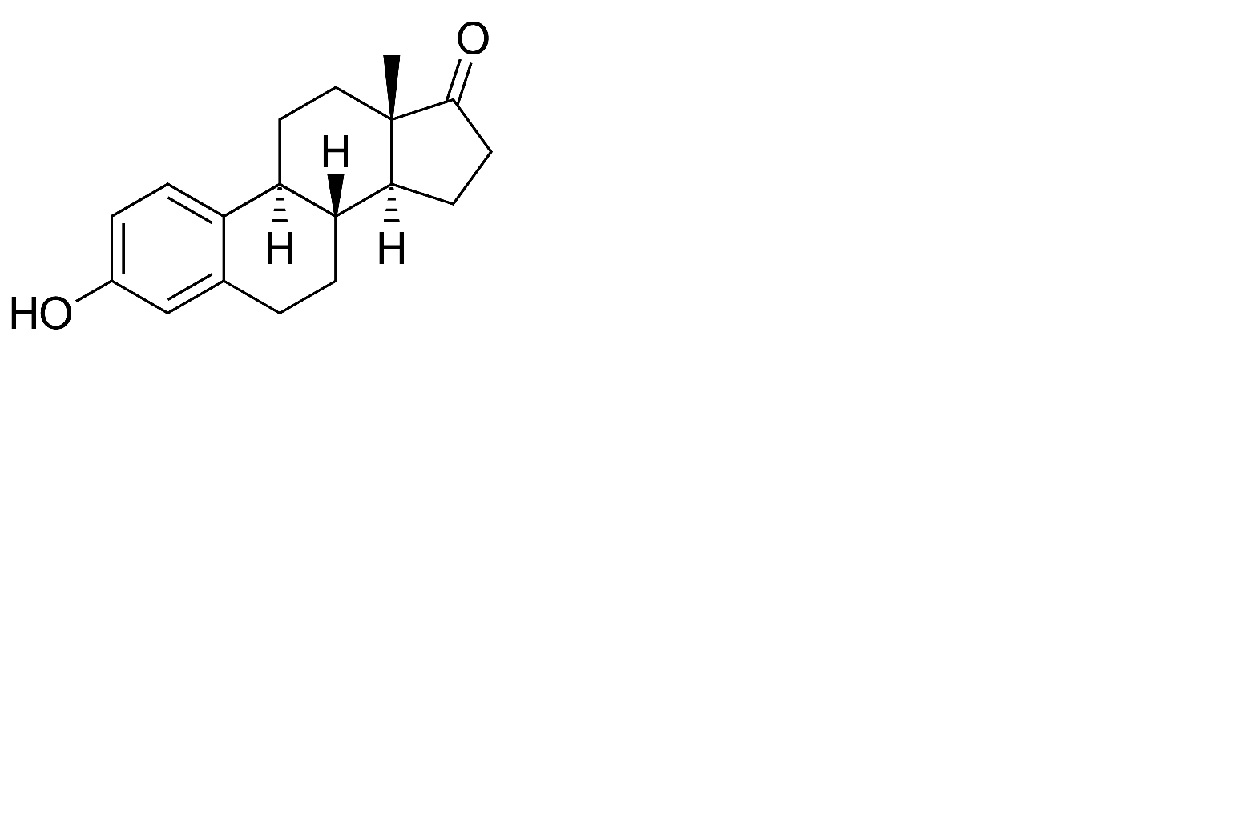
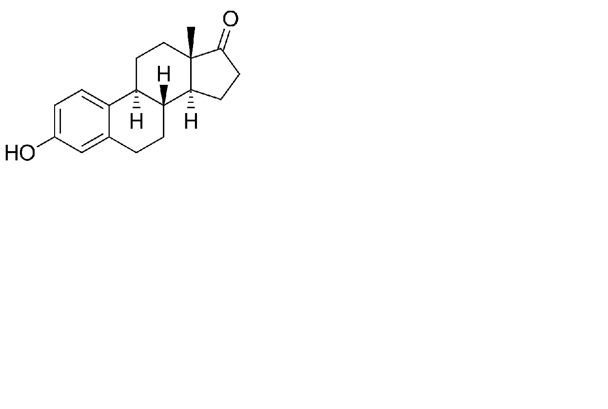
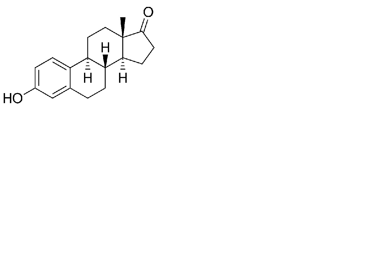
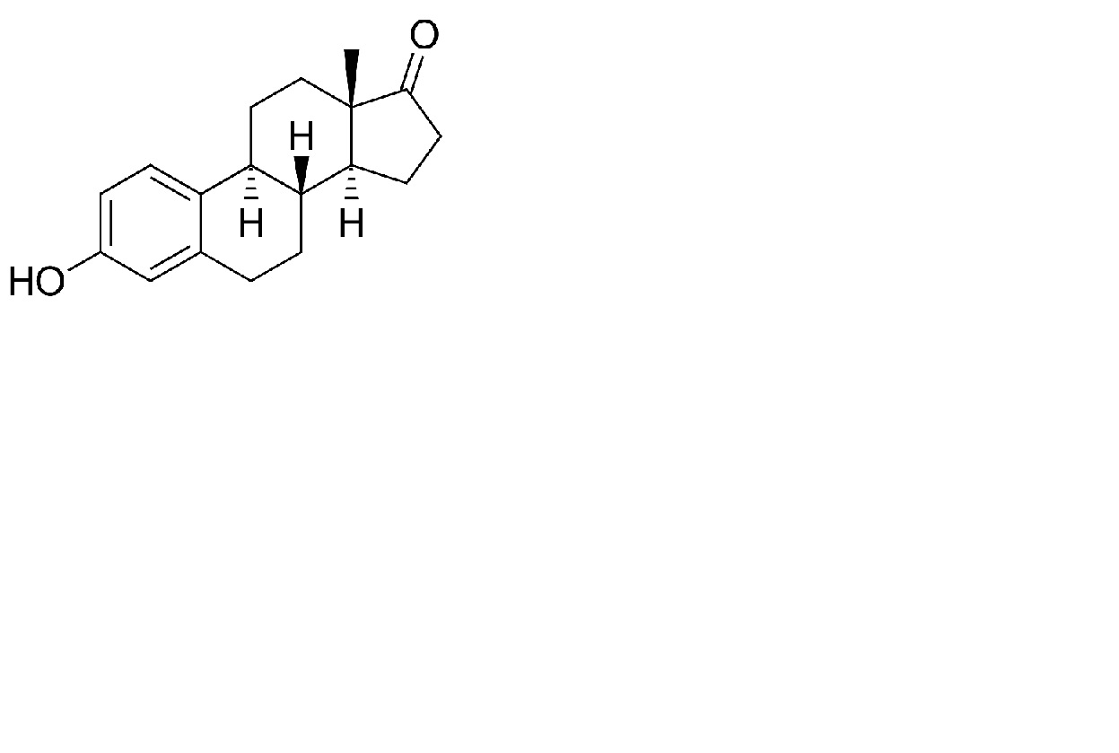
Hormon   Estrone  
Mazila
Stabilnost farmacevtskih preparatov Stabilnost mešanice Faktorji, ki vplivajo na stabilnost Kompatibilnost Viri pdf
   Kemična formula  

Mazila
Stabilnost farmacevtskih preparatov   Mazila   Stabilnost farmacevtskih preparatov : Estrone     
Vsebnik Origine Ekscipient Temperatura Shranjevanje Trajanje stabilnosti Viri
Aluminijasti vsebnik za mazilo Prašek 100 mg
® = ?
Dietilen glikol 5 g
Phytobase® (Fagron) >>100 g
15-25°C Zaščiteno pred svetlobo
180 Dan
4577

Aluminijasti vsebnik za mazilo Prašek 1 g
® = ?
Dietilen glikol 5 g
Phytobase® (Fagron) >>100 g
15-25°C Zaščiteno pred svetlobo
180 Dan
4577


  Mentions Légales