Last update :
27/11/2025
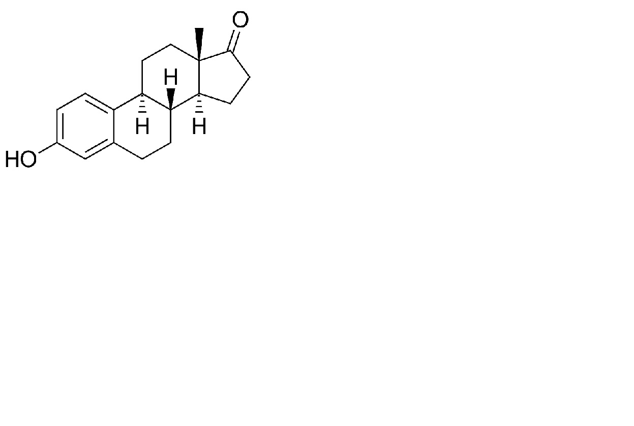
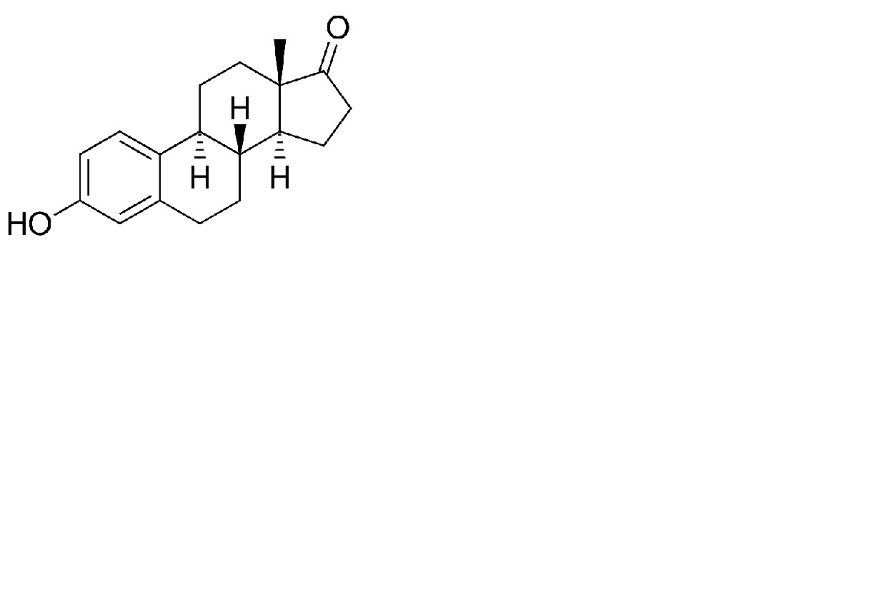
Hormone   Estrone  
Ointments
Stability of pharmaceutical preparations Stability of mixtures Factors which affect stability Compatibility References pdf
   Chemical structure  

Ointments
Stability of pharmaceutical preparations   Ointments   Stability of pharmaceutical preparations : Estrone     
Container Origine excipient Temperature Storage Duration of stability References
ointment tube (aluminium) powder 100 mg
® = ?
Ethoxydiglycol 5 g
Phytobase® (Fagron) >>100 g
15-25°C Protect from light
180 Day
4577

ointment tube (aluminium) powder 1 g
® = ?
Ethoxydiglycol 5 g
Phytobase® (Fagron) >>100 g
15-25°C Protect from light
180 Day
4577


  Mentions Légales