Zadnji put ažurirano :
27/11/2025
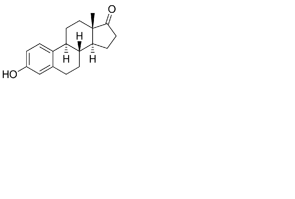
Hormonski   Estrone  
masti
Stabilnost farmaceutskih pripravaka Stabilnost mješavine Stabilizacijski faktor Kompatibilnosti Bibliografija pdf
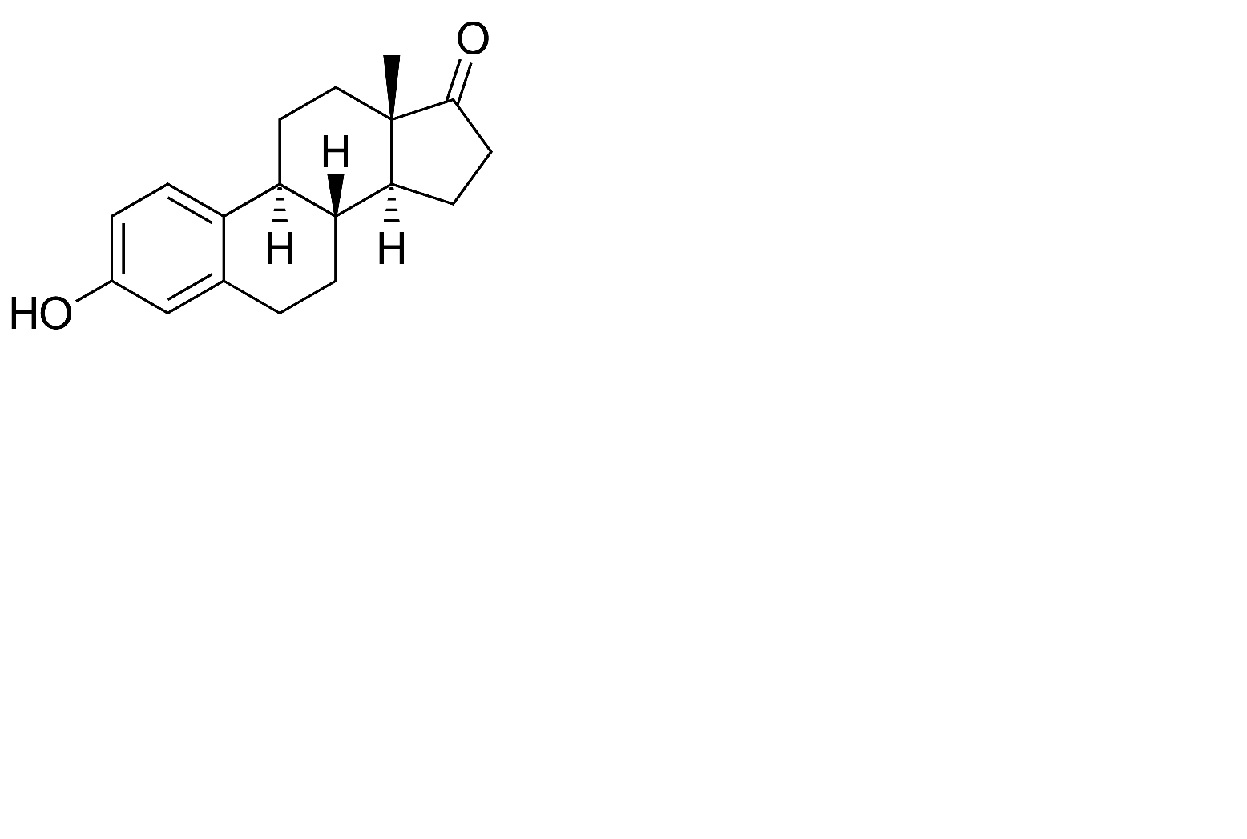
   Kemijska struktura  

masti
Stabilnost farmaceutskih pripravaka   masti   Stabilnost farmaceutskih pripravaka : Estrone     
Kontejner Origine pomoćna tvar temperatura Konzerviranje Trajanje stabilnosti Bibliografija
tuba za mast (aluminijska) prašak 100 mg
® = ?
Etoksidiglikol 5 g
Phytobase® (Fagron) >>100 g
15-25°C Zaštićeno od svjetlosti
180 dan
4577

tuba za mast (aluminijska) prašak 1 g
® = ?
Etoksidiglikol 5 g
Phytobase® (Fagron) >>100 g
15-25°C Zaštićeno od svjetlosti
180 dan
4577


  Mentions Légales