viimane versioon :
27/11/2025
Hormoonasendusravi   Estrone  
salv
Stabiilsust ravimpreparaadid Stabiilsust mõjutavad tegurid stabiilsust mõjutavad faktorid Sobimatus Viited pdf
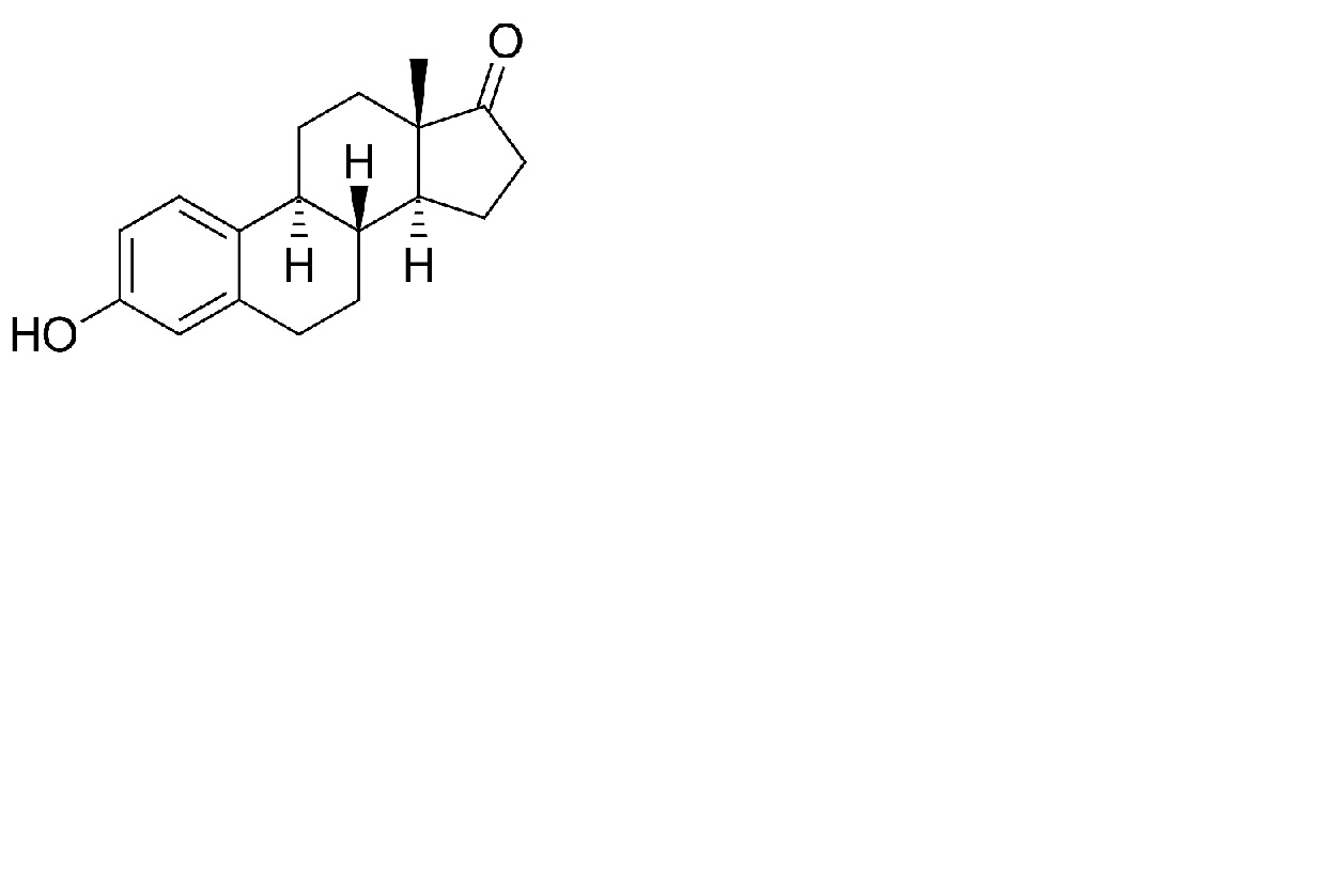
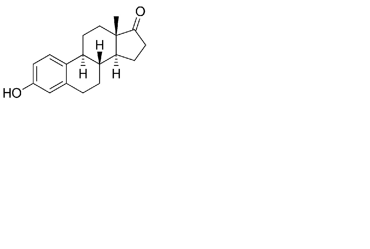
   keemiline struktuur  

salv
Stabiilsust ravimpreparaadid   salv   Stabiilsust ravimpreparaadid : Estrone     
konteiner Origine  abiaine temperatuur ladustamine Stabiilsuse kestus Viited
Salvi tuub (alumiiniumist) pulber 100 mg
® = ?
Ethoxydiglycol 5 g
Phytobase® (Fagron) >>100 g
15-25°C kaitsta valguse eest
180 päev
4577

Salvi tuub (alumiiniumist) pulber 1 g
® = ?
Ethoxydiglycol 5 g
Phytobase® (Fagron) >>100 g
15-25°C kaitsta valguse eest
180 päev
4577


  Mentions Légales