Ostatnia aktualizacja :
27/11/2025
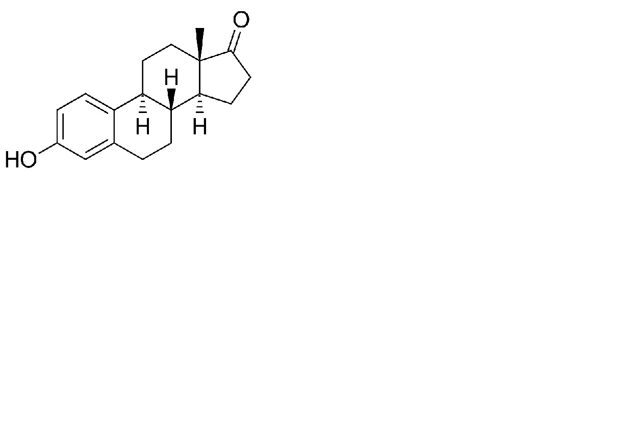
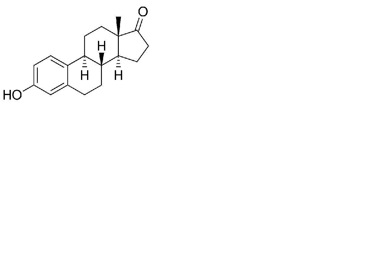
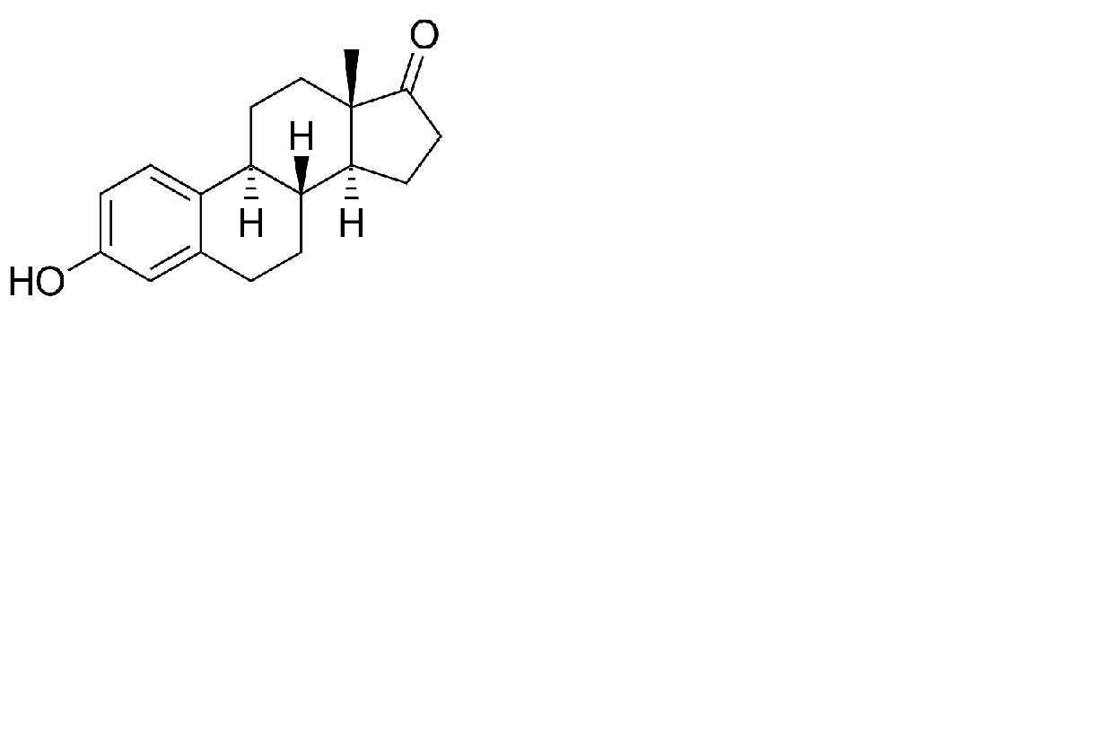
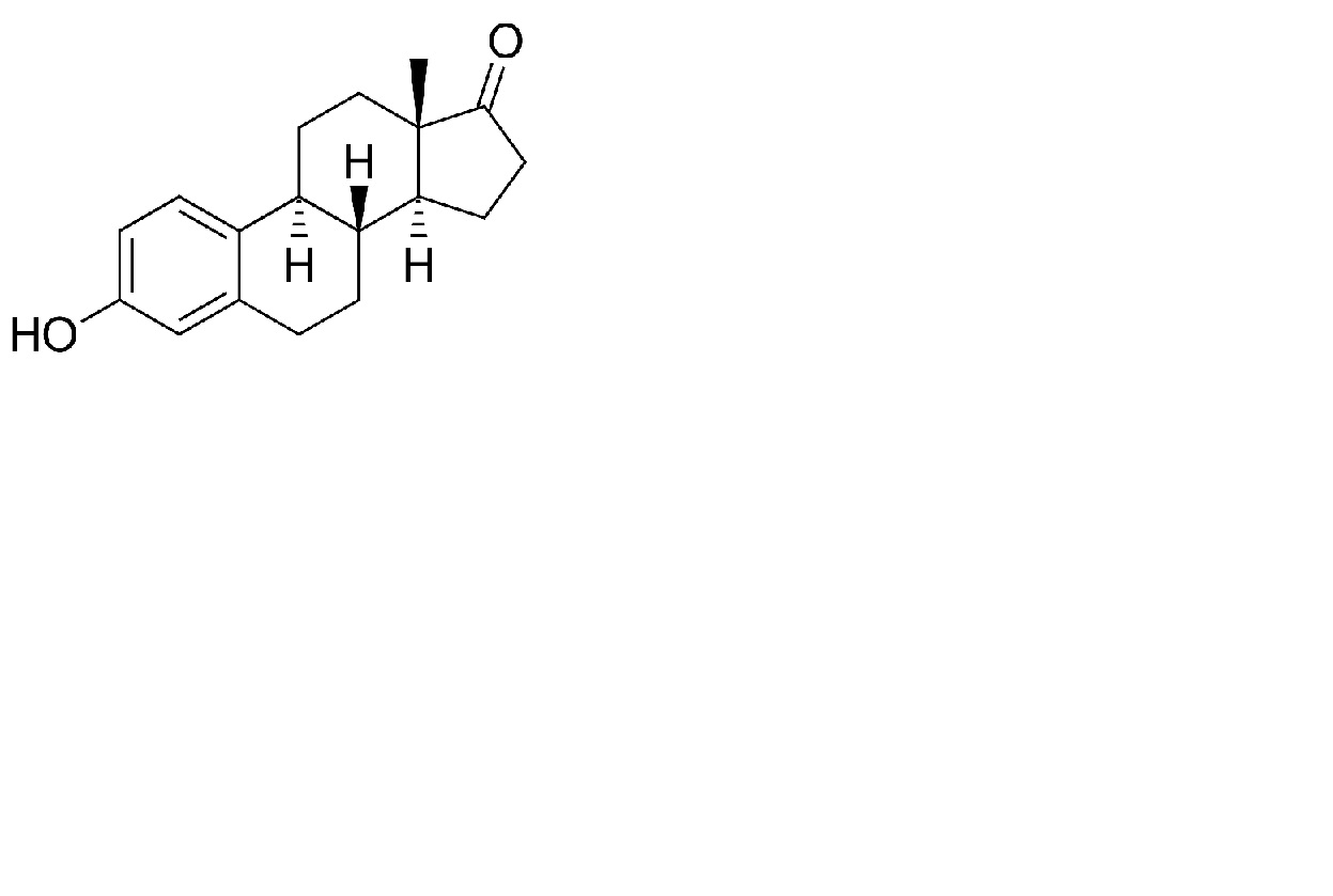
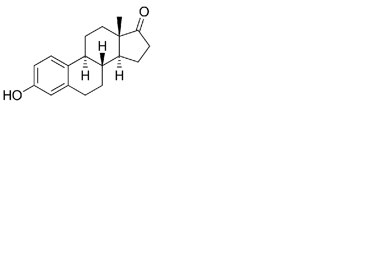
Hormon   Estrone  
Maści
Stabilność preparatów farmaceutycznych Trwałość w mieszaninie Czynnik wpływający na trwałość Zgodność Bibliografia pdf
   Struktura chemiczna  

Maści
Stabilność preparatów farmaceutycznych   Maści   Stabilność preparatów farmaceutycznych : Estrone     
Pojemnik Origine Substancja pomocniczna Temperatura Przechowywanie Czas trwania stabilności Bibliografia
Tubka do maści (aluminium) Proszek 100 mg
® = ?
Etoksydiglikol 5 g
Phytobase® (Fagron) >>100 g
15-25°C Chronić od światła
180 Dzień
4577

Tubka do maści (aluminium) Proszek 1 g
® = ?
Etoksydiglikol 5 g
Phytobase® (Fagron) >>100 g
15-25°C Chronić od światła
180 Dzień
4577


  Mentions Légales