最新更新 :
27/11/2025
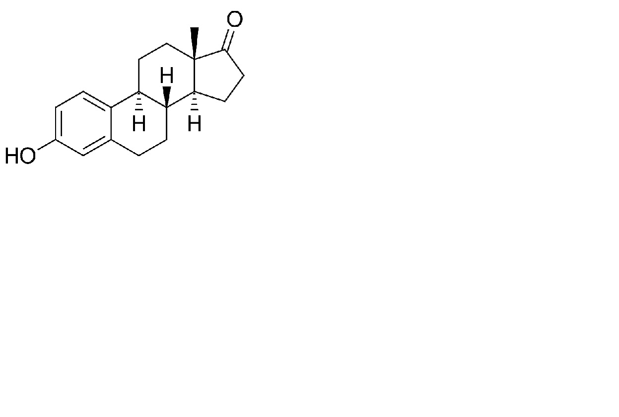
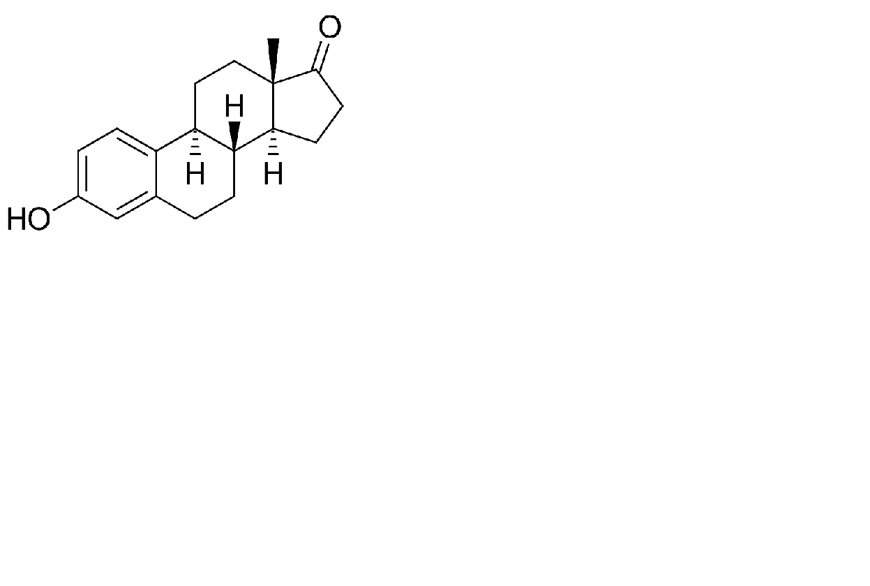
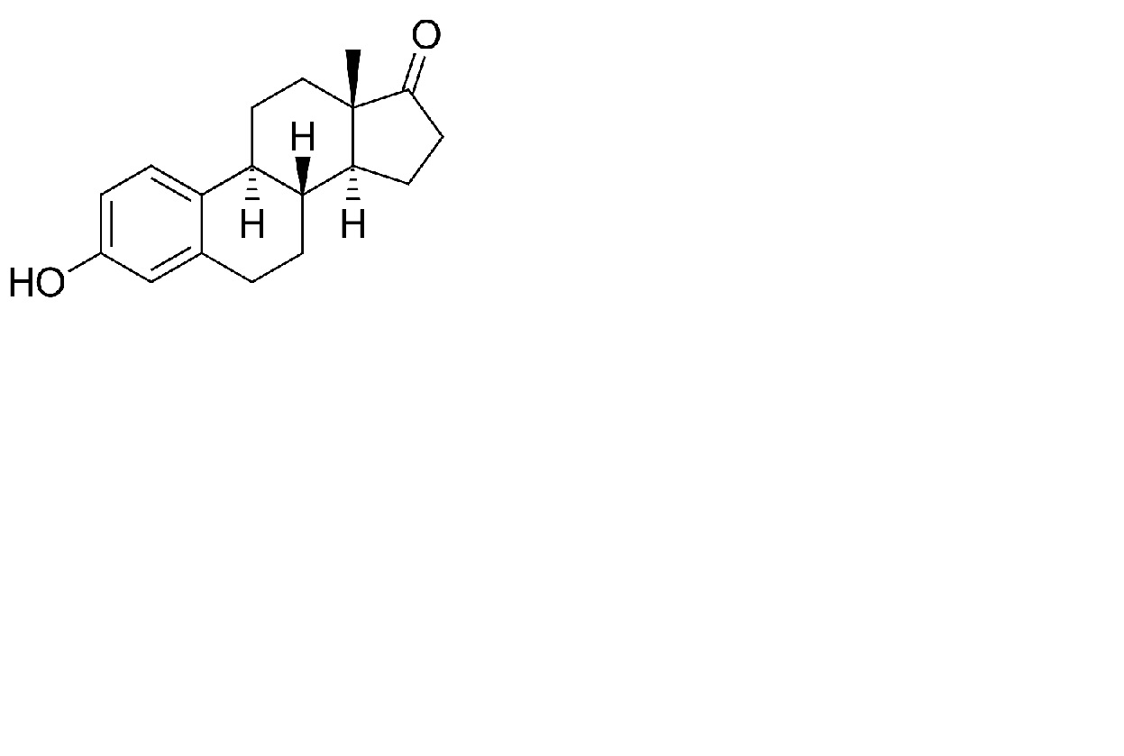
激素   Estrone  
药膏
制剂的稳定性 混合物稳定性 影响稳定性的因素 兼容性 引用文献 PDF
   化学式  

药膏
制剂的稳定性   药膏   制剂的稳定性 : Estrone     
容器 Origine 添加剂 温度 保存 穩定持續時間 引用文献
铝质膏药管 粉剂 100 mg
® = ?
乙氧基 5 g
Phytobase® (Fagron) >>100 g
15-25°C 避光
180 白天
4577

铝质膏药管 粉剂 1 g
® = ?
乙氧基 5 g
Phytobase® (Fagron) >>100 g
15-25°C 避光
180 白天
4577


  Mentions Légales