Последно актуализиране :
27/11/2025
Хормон   Estrone  
Унгвент/Унгвенти
Стабилност на лекарствени препарати Стабилност на смеси Фактори, повлияващи стабилността Съвместимост Библиография Pdf
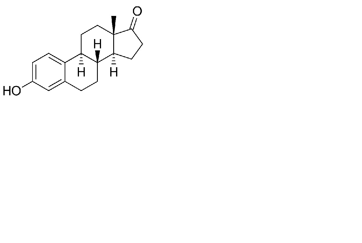
   Химична структура  

Унгвент/Унгвенти
Стабилност на лекарствени препарати   Унгвент/Унгвенти   Стабилност на лекарствени препарати : Estrone     
Контейнер Origine Помощно вещество Температура Съхранение Продължителност на стабилността Библиография
Алуминиева туба Прах 100 mg
® = ?
Етоксидигликол 5 g
Phytobase® (Fagron) >>100 g
15-25°C Защита от светлина
180 Ден
4577

Алуминиева туба Прах 1 g
® = ?
Етоксидигликол 5 g
Phytobase® (Fagron) >>100 g
15-25°C Защита от светлина
180 Ден
4577


  Mentions Légales