Ultimo aggiornamento :
27/11/2025
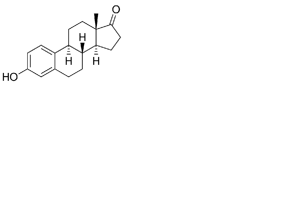
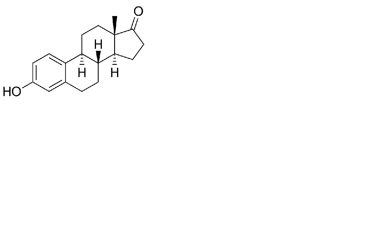
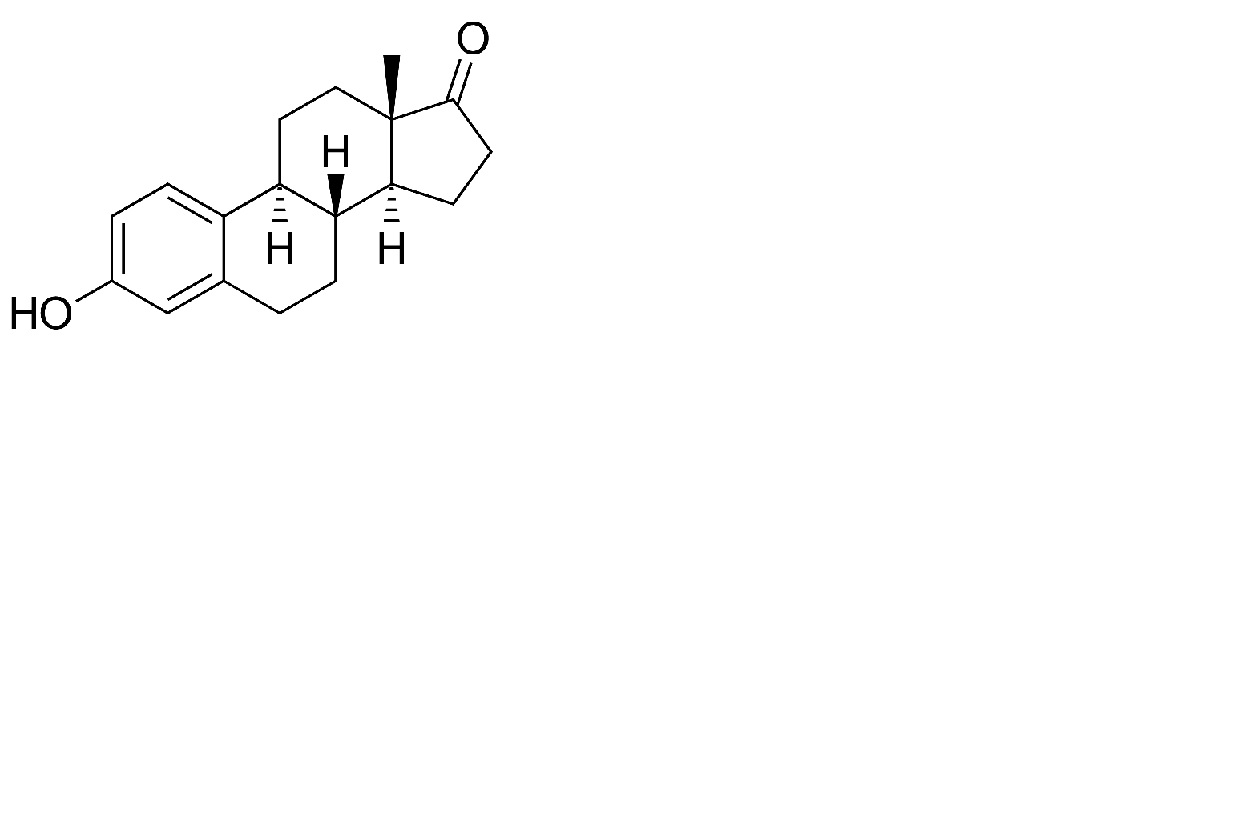
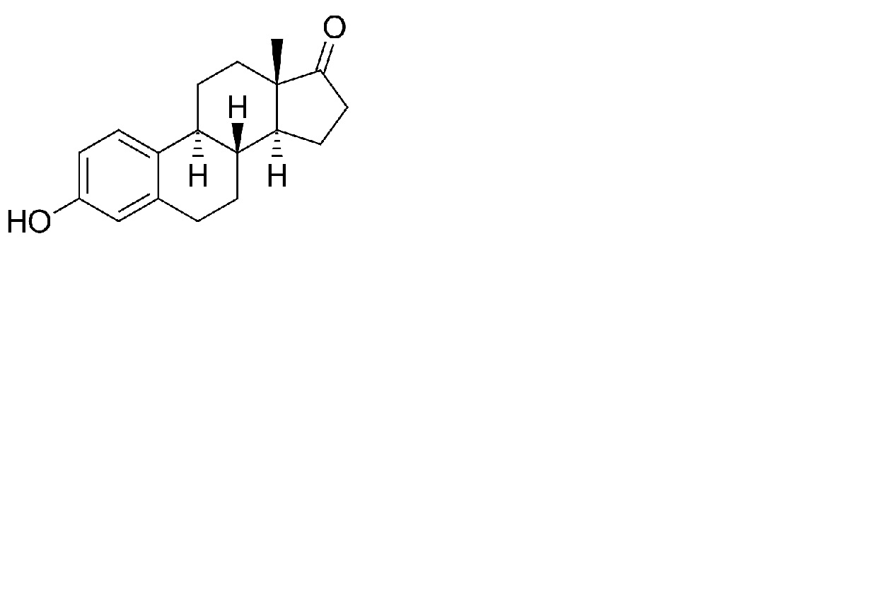
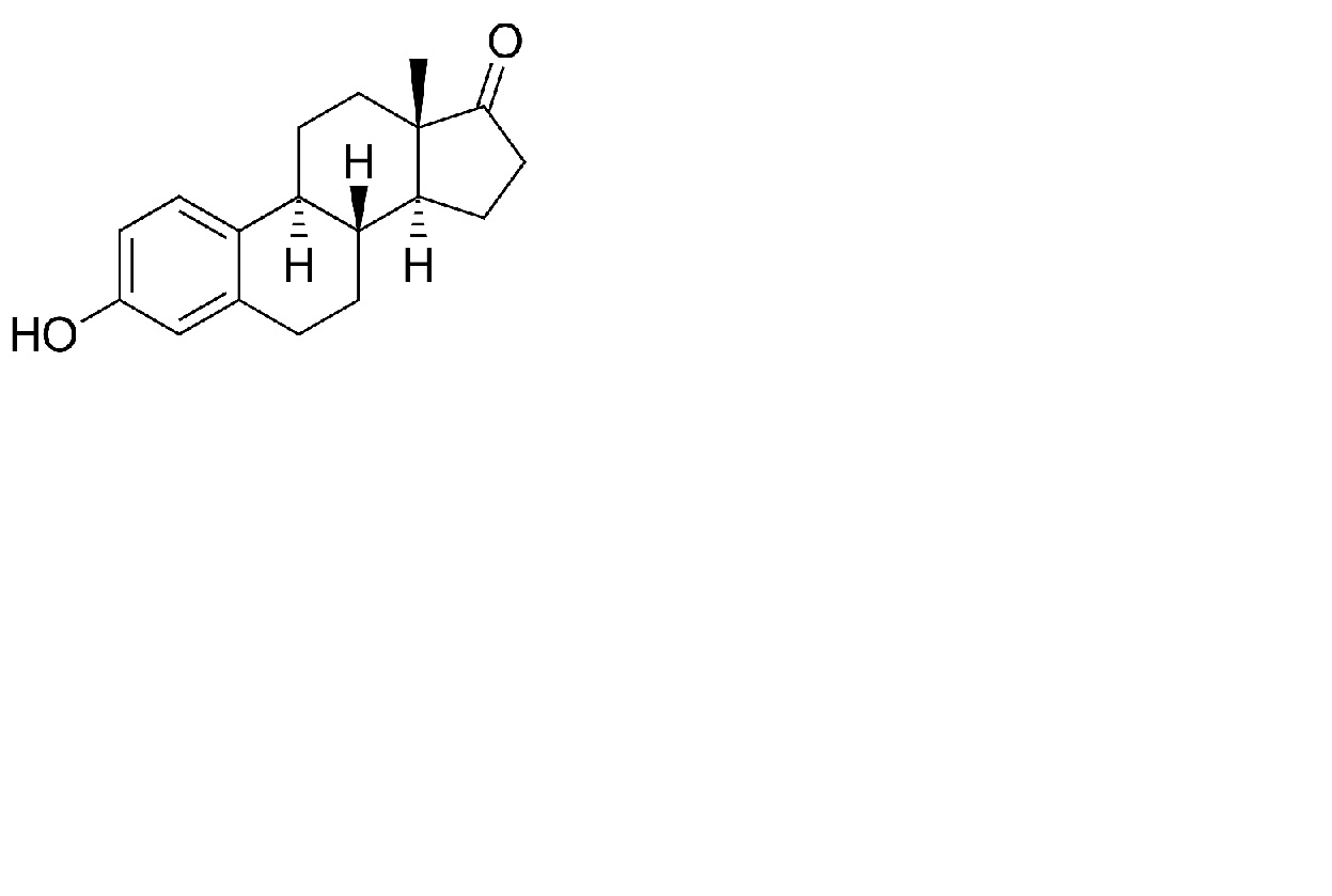
Ormone   Estrone  
Unguenti
Stabilità dei preparati farmaceutici Stabilità in miscela Fattori che influenzano la stabilità Compatibilità Bibliografia pdf
   Struttura chimica  

Unguenti
Stabilità dei preparati farmaceutici   Unguenti   Stabilità dei preparati farmaceutici : Estrone     
contenitore Origine eccipiente Temperatura Conservazione Durata della stabilità Bibliografia
Tubo per unguento (alluminio) polvere 100 mg
® = ?
Ethoxydiglycol 5 g
Phytobase® (Fagron) >>100 g
15-25°C Al riparo dalla luce
180 Giorno
4577

Tubo per unguento (alluminio) polvere 1 g
® = ?
Ethoxydiglycol 5 g
Phytobase® (Fagron) >>100 g
15-25°C Al riparo dalla luce
180 Giorno
4577


  Mentions Légales