آخر تحديث :
27/11/2025
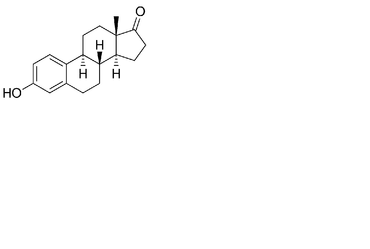
هرمون   Estrone  
المراهم
استقرار المستحضرات الصيدلانية استقرار مخاليط العوامل التي تؤثر على الاستقرار التوافق مراجع pdf
   التركيب الكيميائي  

المراهم
استقرار المستحضرات الصيدلانية   المراهم   استقرار المستحضرات الصيدلانية : Estrone     
حاوية Origine الاضافات درجة الحرارة تخزين مدة الاستقرار مراجع
 أنبوب مرهم  (الألومنيوم) مسحوق 100 mg
® = ?
Ethoxydiglycol 5 g
Phytobase® (Fagron) >>100 g
15-25°C بعيدا عن الضوء
180 يوم
4577

 أنبوب مرهم  (الألومنيوم) مسحوق 1 g
® = ?
Ethoxydiglycol 5 g
Phytobase® (Fagron) >>100 g
15-25°C بعيدا عن الضوء
180 يوم
4577


  Mentions Légales