Τελευταία ενημέρωση :
27/11/2025
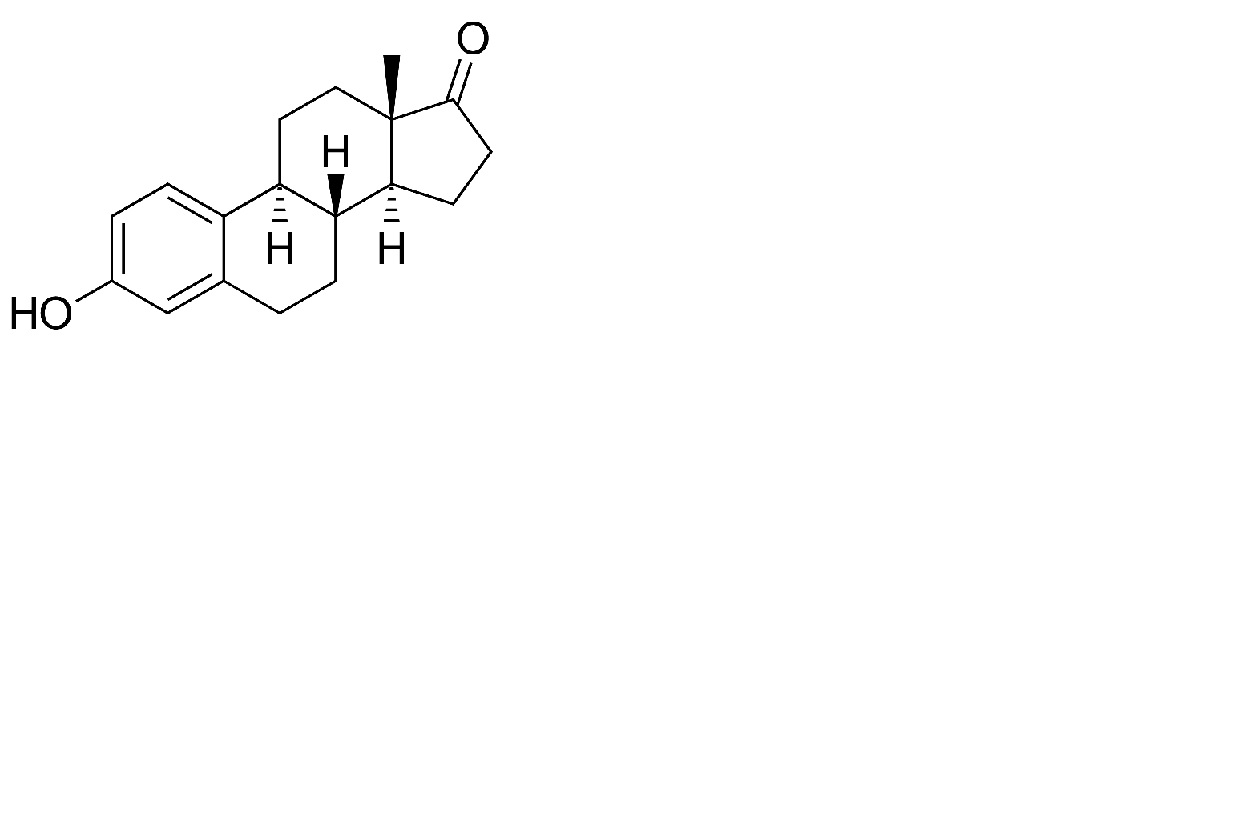
Ορμόνη   Estrone  
Αλοιφές
Σταθερότητα και συμβατότητα των φαρμάκων Σταθερότητα σε μίγματα Παράγοντας που επηρεάζει τη σταθερότητα Συμβατότητες Βιβλιογραφία pdf
   χημική δομή  

Αλοιφές
Σταθερότητα και συμβατότητα των φαρμάκων   Αλοιφές   Σταθερότητα και συμβατότητα των φαρμάκων : Estrone     
Υποδοχέας Origine Έκδοχο Θερμοκρασία Αποθήκευση Διάρκεια σταθερότητας Βιβλιογραφία
Σωληνάριο αλοιφής (αλουμινίου) Σκόνη 100 mg
® = ?
Αιθοξυδιγλυκόλη 5 g
Phytobase® (Fagron) >>100 g
15-25°C Προστατεύετε από το φως
180 Ημέρα
4577

Σωληνάριο αλοιφής (αλουμινίου) Σκόνη 1 g
® = ?
Αιθοξυδιγλυκόλη 5 g
Phytobase® (Fagron) >>100 g
15-25°C Προστατεύετε από το φως
180 Ημέρα
4577


  Mentions Légales