zadnja posodobitev :
18/03/2026
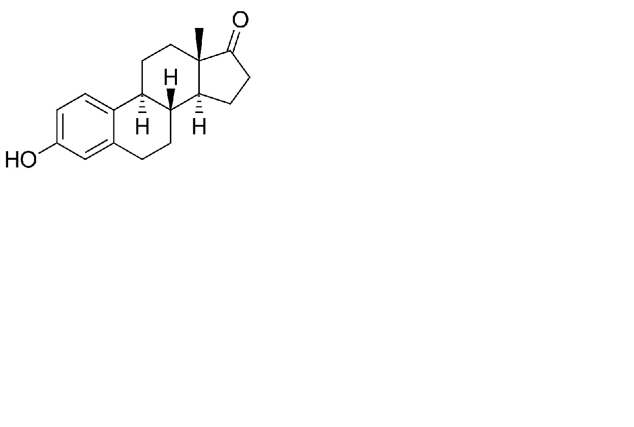
Hormon   Estrone  
Mazila
Stabilnost farmacevtskih preparatov Stabilnost mešanice Faktorji, ki vplivajo na stabilnost Kompatibilnost Viri pdf
   Kemična formula  

Mazila

Faktorji, ki vplivajo na stabilnost   Mazila   Faktorji, ki vplivajo na stabilnost : Estrone        
ni podatka

  Mentions Légales